Volume 23 Issue 9
Sep.  2025
Turn off MathJax
Article Contents
LI Wenhao, JIA Guangzhi, ZHANG Ya, ZHANG Wei. Mendelian randomization study on the causal relationship between gut microbiome and two types of purpura diseases[J]. Chinese Journal of General Practice, 2025, 23(9): 1502-1506. doi: 10.16766/j.cnki.issn.1674-4152.004165
Citation: LI Wenhao, JIA Guangzhi, ZHANG Ya, ZHANG Wei. Mendelian randomization study on the causal relationship between gut microbiome and two types of purpura diseases[J]. Chinese Journal of General Practice, 2025, 23(9): 1502-1506. doi: 10.16766/j.cnki.issn.1674-4152.004165

Mendelian randomization study on the causal relationship between gut microbiome and two types of purpura diseases

doi: 10.16766/j.cnki.issn.1674-4152.004165
Funds:

 TCM2024017

  • Received Date: 2024-08-29
    Available Online: 2025-11-17
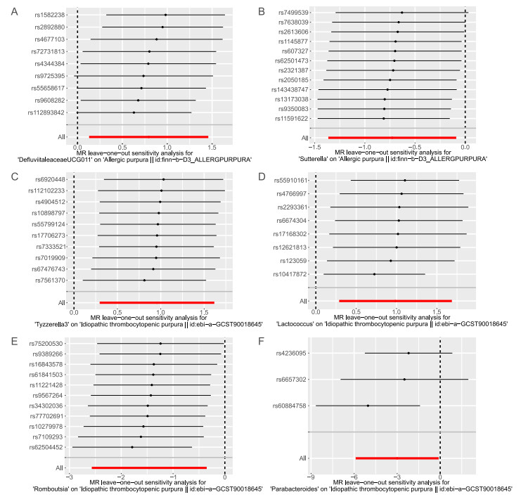
  •   Objective  To analyze the causal relationship between intestinal flora and Henoch-Schönlein purpura (HSP) and idiopathic thrombocytopenic purpura (ITP) by means of Mendelian randomization (MR).  Methods  The published genome-wide association study database was utilized to obtain the HSP/ITP data set of exposure factor intestinal flora and outcome variables. Inverse variance weighting (IVW), MR Egger, weighted median, simple mode and weighted mode were utilized for MR Analysis. The OR value was utilized to evaluate the causal relationship between intestinal flora and HSP/ITP, and sensitivity analysis, including Cochran ' s Q test and the MR Egger intercept test was conducted to evaluate the robustness of the results.  Results  The IVW analysis demonstrated that DefluviitaleaceaeUCG011 (OR=2.211, 95% CI: 1.138-4.296, P=0.019) was associated with an elevated risk of HSP. Sutterella (OR=0.483, 95% CI: 0.256-0.914, P=0.025) was associated with a reduced the risk of HSP. Lactococcus (OR=2.684, 95% CI: 1.335-5.397, P=0.006) and Tyzzerella3 (OR=2.602, 95% CI: 1.344-5.038, P=0.005) were found to be significant risk factors for ITP. Romboutsia (OR=0.232, 95% CI: 0.077-0.704, P=0.010) and Parabacteroides (OR=0.050, 95% CI: 0.003-0.898, P=0.042) have been shown to reduce the risk of ITP.  Conclusion  The present study hypothesizes that there is a causal relationship between the gut microbiome and the risk of HSP/ITP, and modulating the gut microbiome may be beneficial in the prevention and treatment of HSP/ITP.

     

  • loading
  • [1]
    PILLEBOUT E, SUNDERKÖTTER C. IgA vasculitis[J]. Semin Immunopathol, 2021, 43(5): 729-738.
    [2]
    ONI L, SAMPATH S. Childhood IgA vasculitis (Henoch Schonlein purpura)-advances and knowledge gaps[J]. Front Pediatr, 2019, 7: 257. DOI: 10.3389/fped.2019.00257.
    [3]
    AUDEMARD-VERGER A, PILLEBOUT E, BALDOLLI A, et al. Impact of aging on phenotype and prognosis in IgA vasculitis[J]. Rheumatology (Oxford), 2021, 60(9): 4245-4251.
    [4]
    MADKHALI M A. Recent advances in the management of immune thrombocytopenic purpura (ITP): a comprehensive review[J]. Medicine(Baltimore), 2024, 103(3): e36936. DOI: 10.1097/MD.0000000000036936.
    [5]
    ALTHAUS K, FAUL C, BAKCHOUL T. New developments in the pathophysiology and management of primary immune thrombocytopenia[J]. Hamostaseologie, 2021, 41(4): 275-282.
    [6]
    JAIME-PÉREZ J C, RAMOS-DÁVILA E M, MELÉNDEZ-FLORES J D, et al. Insights on chronic immune thrombocytopenia pathogenesis: a bench to bedside update[J]. Blood Rev, 2021, 49: 100827. DOI: 10.1016/j.blre.2021.100827.
    [7]
    王峰, 娜斯曼·尼加提, 段丽, 等. 不同年龄段儿童免疫性血小板减少症的临床特点分析[J]. 新医学, 2021, 52(10): 772-777.

    WANG F, Nasiman Nijiati, DUAN L, et al. Clinical characteristics of immune thrombocytopenia in children of different ages[J]. Journal of New Medicine, 2021, 52(10): 772-777.
    [8]
    MILTIADOUS O, HOU M, BUSSEL J B. Identifying and treating refractory ITP: difficulty in diagnosis and role of combination treatment[J]. Blood, 2020, 135(7): 472-490.
    [9]
    封蔚莹, 罗洪强, 钟永根, 等. 老年原发免疫性血小板减少症患者115例临床分析[J]. 中华全科医学, 2019, 17(6): 962-965. doi: 10.16766/j.cnki.issn.1674-4152.000836

    PENG W Y, LUO H Q, ZHONG Y G, et al. Retrospective analysis of 115 cases of elderly immune thrombocytopenia[J]. Chinese Journal of General Practice, 2019, 17(6): 962-965. doi: 10.16766/j.cnki.issn.1674-4152.000836
    [10]
    SONG Y, HUANG X H, YU G Z, et al. Pathogenesis of IgA vasculitis: an up-to-date review[J]. Front Immunol, 2021, 12: 771619. DOI: 10.3389/fimmu.2021.771619.
    [11]
    PROVAN D, SEMPLE J W. Recent advances in the mechanisms and treatment of immune thrombocytopenia[J]. E Bio Medicine, 2022, 76: 103820. DOI: 10.1016/j.ebiom.2022.103820.
    [12]
    年红艳, 杨从艳, 徐兵. 过敏性紫癜患儿自我感受负担的影响因素分析[J]. 中华全科医学, 2023, 21(7): 1255-1258. doi: 10.16766/j.cnki.issn.1674-4152.003096

    NIAN H Y, YANG C Y, XU B. Analysis of influencing factors of self-perceived burden in children with Henoch-Schoenlein purpura[J]. Chinese Journal of General Practice, 2023, 21(7): 1255-1258. doi: 10.16766/j.cnki.issn.1674-4152.003096
    [13]
    COOPER N, KRUSE A, KRUSE C, et al. Immune thrombocytopenia (ITP) World Impact Survey (I-WISh): impact of ITP on health-related quality of life[J]. Am J Hematol, 2021, 96(2): 199-207.
    [14]
    DONATI ZEPPA S, AGOSTINI D, FERRINI F, et al. Interventions on gut microbiota for healthy aging[J]. Cells, 2022, 12(1). DOI: 10.3390/cells12010034.
    [15]
    YOO J Y, GROER M, DUTRA S V O, et al. Gut Microbiota and immune system interactions[J]. Microorganisms, 2020, 8(10). DOI: 10.3390/microorganisms8101587.
    [16]
    COLLISON J. Gut microbiota linked to kidney disease in SLE[J]. Nat Rev Rheumatol, 2019, 15(4): 188. DOI: 10.1038/s41584-019-0196-8.
    [17]
    QIU P, ISHIMOTO T, FU L F, et al. The Gut microbiota in inflammatory bowel disease[J]. Front Cell Infect Microbiol, 2022, 12: 733992. DOI: 10.3389/fcimb.2022.733992.
    [18]
    KUJAWA D, LACZMANSKI L, BUDREWICZ S, et al. Targeting gut microbiota: new therapeutic opportunities in multiple sclerosis[J]. Gut Microbes, 2023, 15(2): 2274126. DOI: 10.1080/19490976.2023.2274126.
    [19]
    RICHMOND R C, DAVEY SMITH G. Mendelian randomization: concepts and scope[J]. Cold Spring Harb Perspect Med, 2022, 12(1). DOI: 10.1101/cshperspect.a040501.
    [20]
    BURGESS S, DAVEY SMITH G, DAVIES N M, et al. Guidelines for performing Mendelian randomization investigations: update for summer 2023[J]. Wellcome Open Res, 2019, 4: 186. DOI: 10.12688/wellcomeopenres.15555.3.
    [21]
    LIN Z T, DENG Y Q, PAN W. Combining the strengths of inverse-variance weighting and Egger regression in Mendelian randomization using a mixture of regressions model[J]. PLoS Genet, 2021, 17(11): e1009922. DOI: 10.1371/journal.pgen.1009922.
    [22]
    NIU P P, SONG B, WANG X, et al. Serum uric acid level and multiple sclerosis: a mendelian randomization study[J]. Front Genet, 2020, 11: 254. DOI: 10.3389/fgene.2020.00254.
    [23]
    NAZARZADEH M, PINHO-GOMES A C, BIDEL Z, et al. Plasma lipids and risk of aortic valve stenosis: a Mendelian randomization study[J]. Eur Heart J, 2020, 41(40): 3913-3920.
    [24]
    GRONAU Q F, WAGENMAKERS E J. Limitations of bayesian leave-one-out cross-validation for model selection[J]. Comput Brain Behav, 2019, 2(1): 1-11.
    [25]
    TONG Y L, ZHENG L L, QING P Y, et al. Oral microbiota perturbations are linked to high risk for rheumatoid arthritis[J]. Front Cell Infect Microbiol, 2019, 9: 475. DOI: 10.3389/fcimb.2019.00475.
    [26]
    LI B Z, ZHOU H Y, GUO B, et al. Dysbiosis of oral microbiota is associated with systemic lupus erythematosus[J]. Arch Oral Biol, 2020, 113: 104708. DOI: 10.1016/j.archoralbio.2020.104708.
    [27]
    CHEN Y Z, TANG S L. Gut microbiota and immune mediation: a Mendelian randomization study on granulomatosis with polyangiitis[J]. Front Immunol, 2023, 14: 1296016. DOI: 10.3389/fimmu.2023.1296016.
    [28]
    KAAKOUSH N O. Sutterella species, IgA-degrading bacteria in ulcerative colitis[J]. Trends Microbiol, 2020, 28(7): 519-522.
    [29]
    HANSEN I S, BAETEN D L P, DEN DUNNEN J. The inflammatory function of human IgA[J]. Cell Mol Life Sci, 2019, 76(6): 1041-1055.
    [30]
    SINGH V, LEE G, SON H, et al. Butyrate producers, "The Sentinel of Gut": their intestinal significance with and beyond butyrate, and prospective use as microbial therapeutics[J]. Front Microbiol, 2022, 13: 1103836. DOI: 10.3389/fmicb.2022.1103836.
    [31]
    WELS M, SIEZEN R, VAN HIJUM S, et al. Comparative genome analysis of lactococcus lactis indicates niche adaptation and resolves genotype/phenotype disparity[J]. Front Microbiol, 2019, 10: 4. DOI: 10.3389/fmicb.2019.00004.
    [32]
    王毅强, 越东杰, 王俪娟, 等. 金匮肾气丸对阴阳两虚型糖尿病肾病患者的临床疗效[J]. 中成药, 2023, 45(12): 4179-4184.

    WANG Y Q, YUE D J, WANG L J, et al. The clinical effect of Jinkui Shenqi Pill on patients with diabetic nephropathy of yin and yang deficiency type[J]. Chinese Traditional Patent Medicine, 2023, 45(12): 4179-4184.
    [33]
    ZENG Q, LI D F, HE Y, et al. Discrepant gut microbiota markers for the classification of obesity-related metabolic abnormalities[J]. Sci Rep, 2019, 9(1): 13424. DOI: 10.1038/s41598-019-49462-w.
    [34]
    HAMJANE N, MECHITA M B, NOUROUTI N G, et al. Gut microbiota dysbiosis-associated obesity and its involvement in cardiovascular diseases and type 2 diabetes. A systematic review[J]. Microvasc Res, 2024, 151: 104601. DOI: 10.1016/j.mvr.2023.104601.
    [35]
    QIU X Y, ZHAO X J, CUI X F, et al. Characterization of fungal and bacterial dysbiosis in young adult Chinese patients with Crohn ' s disease[J]. Therap Adv Gastroenterol, 2020, 13: 1756284820971202. DOI: 10.1177/1756284820971202.
    [36]
    WANG K, QIN L, CAO J H, et al. κ-Selenocarrageenan oligosaccharides prepared by deep-sea enzyme alleviate inflammatory responses and modulate gut microbiota in ulcerative colitis mice[J]. Int J Mol Sci, 2023, 24(5): 4672. DOI: 10.3390/ijms24054672.
    [37]
    ZHANG P G, JIANG G Y, WANG Y B, et al. Maternal consumption of l-malic acid enriched diets improves antioxidant capacity and glucose metabolism in offspring by regulating the gut microbiota[J]. Redox Biol, 2023, 67: 102889. DOI: 10.1016/j.redox.2023.102889.
    [38]
    LI K, WU J W, XU S, et al. Rosmarinic acid alleviates intestinal inflammatory damage and inhibits endoplasmic reticulum stress and smooth muscle contraction abnormalities in intestinal tissues by regulating gut microbiota[J]. Microbiol Spectr, 2023, 11(5): e0191423. DOI: 10.1128/spectrum.0191423.
    [39]
    WU W K K. Parabacteroides distasonis: an emerging probiotic?[J]. Gut, 2023, 72(9): 1635-1636.
    [40]
    SUN H J, GUO Y K, WANG H D, et al. Gut commensal Parabacteroides distasonis alleviates inflammatory arthritis[J]. Gut, 2023, 72(9): 1664-1677.
    [41]
    WU Z Z, ZHANG S J, LI L L, et al. The gut microbiota modulates responses to anti-PD-1 and chemotherapy combination therapy and related adverse events in patients with advanced solid tumors[J]. Front Oncol, 2022, 12: 887383. DOI: 10.3389/fonc.2022.887383.
  • 加载中

Catalog

    通讯作者: 陈斌, bchen63@163.com
    • 1. 

      沈阳化工大学材料科学与工程学院 沈阳 110142

    1. 本站搜索
    2. 百度学术搜索
    3. 万方数据库搜索
    4. CNKI搜索

    Figures(1)  / Tables(1)

    Article Metrics

    Article views (45) PDF downloads(3) Cited by()
    Proportional views
    Related

    /

    DownLoad:  Full-Size Img  PowerPoint
    Return
    Return