Volume 23 Issue 9
Sep.  2025
Turn off MathJax
Article Contents
ZHANG Xi, YANG Hongge, FENG Yuyang, JIANG Wang, ZHANG Xiangtong, LIANG Hongsheng. Development and validation of a nomogram for predicting thalamic pain occurrence after spontaneous thalamic hemorrhage[J]. Chinese Journal of General Practice, 2025, 23(9): 1475-1479. doi: 10.16766/j.cnki.issn.1674-4152.004158
Citation: ZHANG Xi, YANG Hongge, FENG Yuyang, JIANG Wang, ZHANG Xiangtong, LIANG Hongsheng. Development and validation of a nomogram for predicting thalamic pain occurrence after spontaneous thalamic hemorrhage[J]. Chinese Journal of General Practice, 2025, 23(9): 1475-1479. doi: 10.16766/j.cnki.issn.1674-4152.004158

Development and validation of a nomogram for predicting thalamic pain occurrence after spontaneous thalamic hemorrhage

doi: 10.16766/j.cnki.issn.1674-4152.004158
Funds:

 82271340

 HYD2020JQ0016

  • Received Date: 2024-12-24
    Available Online: 2025-11-17
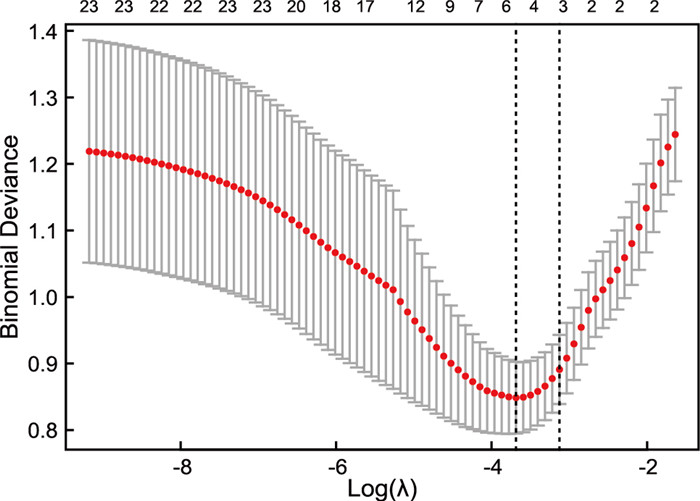
  •   Objective  The occurrence of thalamic pain significantly impacts patients' quality of life. Early identification of patients at risk for developing thalamic pain can facilitate timely clinical interventions and decision-making to alleviate patient suffering. This study aims to develop and validate a nomogram model to predict the occurrence of thalamic pain following spontaneous thalamic hemorrhage.  Methods  A total of 294 patients with spontaneous thalamic hemorrhage were retrospectively included from the First Affiliated Hospital of Harbin Medical University between June 2021 and December 2022. Patients were randomly assigned to the training cohort (n=206) and internal validation cohort (n=88) in a 7∶3 ratio using computer-generated random numbers, with the training cohort used for model development and the internal validation cohort for validation. Feature variables most suitable for model construction were selected using the least absolute shrinkage and selection operator (LASSO) algorithm. Subsequently, the selected features were incorporated into a multivariable logistic regression model to develop the nomogram. The performance of the model was assessed in the training and internal validation cohorts using the area under the receiver operating characteristic curve, and decision curve analysis.  Results  A total of 294 patients were included in this study, of whom 94 cases (31.97%) developed thalamic pain, while 200 cases (68.03%) did not. The LASSO-logistic regression analysis in the training cohort identified two independent predictive factors: hematoma location (P < 0.001) and modified Graeb score (mGS) score (P < 0.001). These predictors were incorporated into the nomogram prediction model. ROC curve analysis demonstrated high predictive performance of the nomogram model (training cohort AUC: 0.890; internal validation cohort AUC: 0.820). Decision curve analyses further indicated that the model has strong predictive ability for the occurrence of thalamic pain following spontaneous thalamic hemorrhage.  Conclusion  This study develops a nomogram model to assess the risk of thalamic pain in individual patients following spontaneous thalamic hemorrhage, demonstrating excellent predictive performance. The model provides clinicians with a practical tool to guide treatment decisions for high-risk patients.

     

  • loading
  • [1]
    许莹宁, 穆琼. PPARγ激动剂对雄性大鼠脑出血后血肿周围小胶质细胞极化的影响[J]. 中华全科医学, 2024, 22(5): 781-785. doi: 10.16766/j.cnki.issn.1674-4152.003502

    XU Y N, MU Q. Effect of PPARγ agonist on microglia polarization around hematoma after cerebra hemorrhage in male rats[J]. Chinese Journal of General Practice, 2024, 22(5): 781-785. doi: 10.16766/j.cnki.issn.1674-4152.003502
    [2]
    LI L, MURTHY S B. Cardiovascular events after intracerebral hemorrhage[J]. Stroke, 2022, 53(7): 2131-2141. doi: 10.1161/STROKEAHA.122.036884
    [3]
    BARBOSA L M, DA SILVA V A, DE LIMA RODRIGUES A L, et al. Dissecting central post-stroke pain: a controlled symptom-psychophysical characterization[J]. Brain Commun, 2022, 4(3): fcac090. DOI: 10.1093/braincomms/fcac090.
    [4]
    KLIT H, FINNERUP N B, JENSEN T S. Central post-stroke pain: clinical characteristics, pathophysiology, and management[J]. Lancet Neurol, 2009, 8(9): 857-868. doi: 10.1016/S1474-4422(09)70176-0
    [5]
    LIAMPAS A, VELIDAKIS N, GEORGIOU T, et al. Prevalence and management challenges in central post-stroke neuropathic pain: a systematic review and meta-analysis[J]. Adv Ther, 2020, 37(7): 3278-3291. doi: 10.1007/s12325-020-01388-w
    [6]
    RI S. The management of poststroke thalamic pain: update in clinical practice[J]. Diagnostics(Basel), 2022, 12(6): 1439. DOI: 10.3390/diagnostics12061439.
    [7]
    MOHANAN A T, NITHYA S, NOMIER Y, et al. Stroke-induced central pain: overview of the mechanisms, management, and emerging targets of central post-stroke pain[J]. Pharmaceuticals(Basel), 2023, 16(8): 1103. DOI: 10.3390/ph16081103.
    [8]
    FANG H, LI M, YANG J, et al. Repressing iron overload ameliorates central post-stroke pain via the Hdac2-Kv1.2 axis in a rat model of hemorrhagic stroke[J]. Neural Regen Res, 2024, 19(12): 2708-2722. doi: 10.4103/NRR.NRR-D-23-01498
    [9]
    FINNERUP N B, KUNER R, JENSEN T S. Neuropathic pain: from mechanisms to treatment[J]. Physiol Rev, 2021, 101(1): 259-301. doi: 10.1152/physrev.00045.2019
    [10]
    DAI J, LIU D, LI X, et al. Prediction of hematoma expansion in hypertensive intracerebral hemorrhage by a radiomics nomogram[J]. Pak J Med Sci, 2023, 39(4): 1149-1155.
    [11]
    YOO J, HYUN S H, LEE J, et al. Prognostic significance of 18 F-FDG PET/CT radiomics in patients with resectable pancreatic ductal adenocarcinoma undergoing curative surgery[J]. Clin Nucl Med, 2024, 49(10): 909-916. doi: 10.1097/RLU.0000000000005363
    [12]
    YOU C, SU G H, ZHANG X, et al. Multicenter radio-multiomic analysis for predicting breast cancer outcome and unravelling imaging-biological connection[J]. NPJ Precis Oncol, 2024, 8(1): 193. DOI: 10.1038/s41698-024-00666-y.
    [13]
    舒存洪, 张姚萍, 张元斌. LASSO回归筛选骨质疏松性椎体压缩骨折患者术后残余疼痛的预测因子及模型构建[J]. 中华全科医学, 2024, 22(11): 1880-1883, 1980. doi: 10.16766/j.cnki.issn.1674-4152.003755

    SHU C H, ZHANG Y P, ZHANG Y B. LASSO regression to identify predictors and model construction for postoperative residual pain in patients with osteoporotic vertebral compression fracture[J]. Chinese Journal of General Practice, 2024, 22(11): 1880-1883, 1980. doi: 10.16766/j.cnki.issn.1674-4152.003755
    [14]
    CHENG Y, WU B, HUANG J, et al. Research progress on the mechanisms of central post-stroke pain: a review[J]. Cell Mol Neurobiol, 2023, 43(7): 3083-3098. doi: 10.1007/s10571-023-01360-6
    [15]
    HIRATO M, MIYAGISHIMA T, TAKAHASHI A, et al. Thalamic anterior part of the ventral posterolateral nucleus and central lateral nucleus in the genesis of central post-stroke pain[J]. Acta Neurochir, 2021, 163(8): 2121-2133. doi: 10.1007/s00701-021-04743-0
    [16]
    ROSNER J, DE ANDRADE D C, DAVIS K D, et al. Central neuropathic pain[J]. Nat Rev Dis Primers, 2023, 9(1): 73. DOI: 10.1038/s41572-023-00484-9.
    [17]
    LIU P F, WANG Y, XU L, et al. Modulation of itch and pain signals processing in ventrobasal thalamus by thalamic reticular nucleus[J]. iScience, 2022, 25(1): 103625. DOI: 10.1016/j.isci.2021.103625.
    [18]
    ZHU X, TANG H D, DONG W Y, et al. Distinct thalamocortical circuits underlie allodynia induced by tissue injury and by depression-like states[J]. Nat Neurosci, 2021, 24(4): 542-553. doi: 10.1038/s41593-021-00811-x
    [19]
    BISSON D A, FLAHERTY M L, SHATIL A S, et al. Original and modified graeb score correlation with intraventricular hemorrhage and clinical outcome prediction in hyperacute intracranial hemorrhage[J]. Stroke, 2020, 51(6): 1696-1702. doi: 10.1161/STROKEAHA.120.029040
    [20]
    傅佳, 冯富媛, 欧册华, 等. 中枢卒中后疼痛的神经机制与临床管理策略[J]. 西南医科大学学报, 2024, 47(6): 553-558.

    FU J, FENG F Y, OU C H, et al. Neurological mechanisms and clinical management strategies of central post-stroke Pain[J]. Journal of Southwest Medical University, 2024, 47(6): 553-558.
    [21]
    YUAN X Q, HU S Y, FAN X C, et al. Central post-stroke pain: advances in clinical and preclinical research[J]. Stroke Vasc Neurol, 2024: svn-2024-003418. DOI: 10.1136/svn-2024-003418.
  • 加载中

Catalog

    通讯作者: 陈斌, bchen63@163.com
    • 1. 

      沈阳化工大学材料科学与工程学院 沈阳 110142

    1. 本站搜索
    2. 百度学术搜索
    3. 万方数据库搜索
    4. CNKI搜索

    Figures(5)  / Tables(3)

    Article Metrics

    Article views (46) PDF downloads(4) Cited by()
    Proportional views
    Related

    /

    DownLoad:  Full-Size Img  PowerPoint
    Return
    Return