2024 Vol. 22, No. 11

General Practice Forum
Research and predictive analysis on the fairness of resource allocation of general practitioners in China
WU Shuang, SUN Yu, QI Li, CAO Zhihui
2024, 22(11): 1813-1817. doi: 10.16766/j.cnki.issn.1674-4152.003740
1017 13
Abstract:
  Objective  To analyze the equity of general practitioner allocation in China and to forecast future trends. The findings will provide a theoretical reference for the promotion of general practice development.  Methods  The research sample comprised the number of general practitioners in China from 2017 to 2021. A descriptive analysis of the allocation of general practitioners in China was conducted using the health resource density index and annual growth rate. The Gini coefficient and agglomeration degree were employed to assess the fairness of the distribution, while the grey model GM (1, 1) was utilized to conduct predictive analysis.  Results  During the observation period, the annual growth rate of general practitioners in China was 14.53%, with corresponding health resource density indexes of 0.069, 0.084, 0.098, 0.110 and 0.118, respectively. The population Gini coefficients of general practitioners in China are 0.231, 0.224, 0.177, 0.157 and 0.147, respectively. The corresponding geographical Gini coefficients are 0.727, 0.730, 0.715, 0.709 and 0.717, respectively. The geographical agglomeration degree is greater than 1 in the eastern and central regions, less than 1 in the western region, greater than 1 in the eastern region, and less than 1 in the central and western regions. The grey model GM (1, 1) predicts that the number of general practitioners in China from 2022 to 2025 will be 494 402, 551 471, 615 127 and 686 131, respectively. Additionally, the number of general practitioners per 10 000 population will be 3.50, 3.89, 4.33 and 4.83, respectively.  Conclusion  The number of general practitioners in China has increased at a consistent rate; however, the regional distribution remains imbalanced. The distribution of the general practitioner population is more equitable than that of geography. It is clear that there are significant regional differences in the distribution of general practitioner resources and that improvements in fairness are needed. It is anticipated that the future development of general practitioner resources in China will be favourable.
Special Topic/Primary Liver Cancer
Progress in research on peripheral blood cytokines for evaluating efficacy after TACE in primary liver cancer
WANG Lin, YANG Xiaoli, YAN Yuling
2024, 22(11): 1818-1821. doi: 10.16766/j.cnki.issn.1674-4152.003741
716 10
Abstract:
Primary liver cancer ranks among the most prevalent and deadly malignancies globally, making timely and effective treatment, along with precise efficacy assessment, crucial for improving patient survival rates. Transarterial chemoembolization (TACE) is a vital treatment for intermediate and advanced stages of primary liver cancer, and the accuracy of its efficacy assessment directly influences the adjustment and optimization of treatment strategies. However, current conventional assessment methods, such as imaging studies and clinical evaluations, face limitations in terms of timeliness and sensitivity. In recent years, peripheral blood cytokines have emerged as promising indicators for evaluating efficacy assessment following TACE. This review explores the roles and research progress of inflammatory factors, such as interleukin-6 (IL-6) and tumor necrosis factor-alpha (TNF-α), immune modulatory factors like programmed cell death receptor-1 (PD-1), angiogenic factors such as vascular endothelial growth factor (VEGF), and cell growth and differentiation factors in post-TACE efficacy assessments. Changes in these factors not only serve as early biomarkers of tumor biology and treatment response but also provide valuable prognostic information. Furthermore, a comprehensive analysis of these biomarkers provides deeper insights into the complexities and dynamic changes within the tumor microenvironment, enhancing our understanding of liver cancer treatment mechanisms. Future research should focus on the quantitative changes, interactions, and relationships of these biomarkers before and after TACE treatment. This approach aims to develop a comprehensive, multi-dimensional efficacy assessment model. This model would enable precise monitoring of treatment effectiveness, offer clinical decision-making, and facilitate personalized treatment plans to optimize outcomes, ultimately improve patient survival rates and quality of life.
Comprehensive analysis of the prognostic and immunological significance of EXO1 in hepatocellular carcinoma
YU Jinhui, WANG Wei, LYU Zhenyu, JI Wenbin, YU Huihao, YANG Yan
2024, 22(11): 1822-1826. doi: 10.16766/j.cnki.issn.1674-4152.003742
732 8
Abstract:
  Objective  To analyze the expression of exonuclease 1 (EXO1) in hepatocellular carcinoma (HCC) and to investigate the relationship between EXO1 and prognosis and immune cell infiltration in patients with HCC.  Methods  The expression of EXO1 in HCC and normal tissues was analyzed based on The Cancer Genome Atlas (TCGA) and the Gene Expression Omnibus (GEO) databases, Furthermore, EXO1 mRNA expression was verified in HCC cell lines by qRT-PCR analysis. The correlation between EXO1 expression and clinicopathological features was analyzed using logistic regression. Kaplan-Meier analysis and Cox regression were used to determine the correlation between EXO1 expression and patients prognosis. The GSVA ssGSEA algorithm and the TIMER database were employed to examine the correlation between EXO1 expression and the level of immune infiltration.  Results  The expression of EXO1 mRNA in HCC tissues was found to be significantly higher than that in normal tissues (P < 0.001). Furthermore, the EXO1 mRNA level in HCC cell lines, BEL-7404 and SMMC-7721 was observed to be markedly elevated in comparison to that in a normal hepatic cell line LO2 (3.92±0.75, 2.42±0.52 vs. 1.00±0.00; P < 0.05). There was a significant correlation between EXO1 expression and the T stage, histological grade and pathological stage of tumors (P < 0.001). A high level of EXO1 expression was found to be associated with poorer overall survival rate in HCC patients (P < 0.001). The analysis of immune infiltration revealed a correlation between EXO1 expression and the infiltration of multiple immune cells.  Conclusion  High EXO1 expression is associated with an unfavourable prognosis and immune cell infiltration in HCC patients. This may serve as a potential prognostic biomarker and immune intervention target in HCC.
A two-center study of MRI and clinical parameter-based nomogram for predicting the efficacy of D-TACE in hepatocellular carcinoma
WANG Jieyu, XI Zihan, TIAN Yuchi, YANG Yongbo, QIU Huafeng, ZENG Hui, LIANG Xiaoyun, JIANG Haitao
2024, 22(11): 1827-1832. doi: 10.16766/j.cnki.issn.1674-4152.003743
694 5
Abstract:
  Objective  To investigate the effects of preoperative imaging features on baseline contrast-enhanced MRI, as well as clinically relevant factors on the efficacy of drug-eluting bead transarterial chemoembolization (D-TACE).  Methods  A retrospective analysis of patients from two centers who received D-TACE as initial therapy was conducted, with the objective of assessing tumour response after D-TACE according to the modified response tumour evaluation criteria in solid tumours. The objective was to identify the independent factors related to the short-term outcomes of D-TACE. This was achieved by applying univariate and multivariate logistic regression methods, and a nomogram was established. The area under the curve (AUC) was calculated by plotting the receiver operating characteristic (ROC). The factors associated with PFS were determined by means of a multivariate Cox regression analysis.  Results  The study cohort comprised 145 patients. The results of the multivariate logistic regression analysis indicated that GGT, tumour-to-liver volume ratio, drug-loaded status, and portal vein tumour thrombus was significantly associated with short-term outcomes following D-TACE. Following internal validation by the bootstrap method, the area under the curve (AUC) value of the constructed nomogram was 0.796 (95% CI: 0.719-0.864). The calibration curves demonstrate a high degree of concordance between the predicted and actual values of the model, which indicates an excellent predictive performance. The decision curve analysis indicates that the nomogram performs well in clinical applications. Multivariate Cox regression analysis revealed that gender and postoperative short-term outcomes were significant factors affecting PFS.  Conclusion  The nomogram, constructed from contrast-enhanced MRI imaging features and clinically relevant parameters, has been demonstrated to be an effective predictor of first D-TACE short-term outcomes. It is anticipated that this nomogram will facilitate the identification of patients who are likely to benefit from D-TACE. Female patients and those with postoperative short-term outcomes of CR, PR, and SD had longer PFS.
General Practice Research
Study of the relationship between serum sCD14, HMGB1 levels and cross-infection in orthodontic patients
FANG Min, ZOU Ying, CHENG Chun, WANG Qing, MI Congbo
2024, 22(11): 1833-1836. doi: 10.16766/j.cnki.issn.1674-4152.003744
513 9
Abstract:
  Objective  To investigate the relationship between serum soluble cluster of differentiation antigen 14 (sCD14) and high mobility group B1 (HMGB1) levels and the occurrence of cross-infection in orthodontic patients, as well as their predictive value for cross-infection.  Methods  A total of 183 orthodontic patients admitted to the First Affiliated Hospital of Xinjiang Medical University from January 2018 to January 2022 were taken as the study object. Among them, 93 cases with cross-infection during orthodontic treatment were taken as the infection group, while 90 cases without cross-infection were taken as the control group. The levels of serum sCD14 and HMGB1 were detected by enzyme-linked immunosorbent assay (ELISA). Multivariate logistic regression was used to analyze the influencing factors of cross-infection, and the relationship between sCD14, HMGB1, and cross infection in orthodontic patients was analyzed by ROC curves.  Results  Compared with the control group, the levels of serum sCD14 and HMGB1 in the infection group were obviously higher (P < 0.05). Elevated levels of serum sCD14 and HMGB1 were independent risk factors for cross-infection in orthodontic patients (P < 0.05). The area under the curve (AUC) for predicting cross-infection was 0.769 for sCD14 and 0.783 for HMGB1. The combined AUC of both markers was 0.886, significantly higher than that for either marker alone (P < 0.001).  Conclusion  Increased serum levels of sCD14 and HMGB1 are increased with cross-infection in orthodontic patients, and their combined detection offers strong predictive value for the occurrence of cross-infection.
Embryonic development and clinical outcomes in patients with 0PN zygote derived embryos
FAN Yongqi, YANG Dandan, ZHANG Qiqi, YAN Bo, ZHANG Zhiguo
2024, 22(11): 1837-1841. doi: 10.16766/j.cnki.issn.1674-4152.003745
778 5
Abstract:
  Objective  The cause of abnormal fertilization and embryo development in non-pronucleus (0PN) zygotes remains unclear, and the viability of transferring 0PN zygotes is still controversial. The study aims to explore the clinical utility of 0PN zygote-derived embryos.  Methods  A total of 9 167 IVF/ICSI cycles conducted between September 2019 and May 2022 were analyzed. (1) Embryo development and clinical outcomes were compared between 6 915 cycles with at least one OPN fertilization (2PN/0PN) and 2 252 cycles with all embryos from 2PN fertilization (2PN group). (2) Patients were further categorized based on the proportion of 0PN-derived embryos in IVF cycles: L group (0-30%, n=2 579), M group (31%-60%, n=782), and H group (61%-100%, n=221), with embryo development and clinical outcomes compared across groups. (3) Embryo development and clinical outcomes were also compared with complete 0PN (0PN 100% group) and complete 2PN (2PN 100% group).  Results  (1) The blastocyst formation rate of 2PN group was significantly higher than that of the 2PN/0PN group (62.44% vs. 55.01%, P < 0.001), whereas the cumulative live birth rate (CLR) of 2PN group was significantly lower than the 2PN/0PN group (54.97% vs. 64.99%, P < 0.001). There was no significant difference in neonatal weight or Apgar score between the two groups. (2) The number of oocytes retrieved, fertilization rate, cumulative clinical pregnancy rate (CCR), and CLR decreased progressively across L, M, and H. The cleavage rate of group M was significantly higher than that in the other two groups. H group had significantly higher rates of high-quality embryos, blastocyst formation, and top-grade cysts compared to the group L. (3) The live birth rate for 0PN-derived embryos (0PN 100% group) was significantly lower than for 2PN-derived embryos (2PN 100% group, 30.56% vs. 60.00%, P < 0.001), though there was no significant difference in clinical outcomes after blastocyst transfer between the two groups (P>0.05).  Conclusion  Clinical pregnancy outcomes after transferring 0PN-derived embryos did not show increased risk of miscarriage or adverse neonatal. Therefore, transferring 0PN-derived embryos may be a feasible option when normal blastocysts are unavailable.
The expression and clinical significance of PTEN and miR-215 in retinoblastoma
WU Kangping, HUANG Jing, WANG Lina, YE Bei, ZHU Yanan
2024, 22(11): 1842-1845. doi: 10.16766/j.cnki.issn.1674-4152.003746
531 5
Abstract:
  Objective  Retinoblastoma (RB) can impair the vision and threaten the lives of children. The purpose of this study is to provide guidance for individualized treatment and prognosis assessment of children by investigating the expression and clinical significance of phosphatase and tensin homolog deleted on chromosome ten (PTEN) and miR-215 in RB.  Methods  A total of 80 children with RB, diagnosed and treated in Hangzhou Children ' s Hospital from August 2020 to October 2023 were selected for the study. Cancerous tissues and adjacent normal tissues were collected, with miR-215 levels detected by RT-PCR and PTEN expression evaluated by immunohistochemical method, respectively. Cox risk regression model was used to analyze the relationship among the expression of PTEN, miR-215, pathological parameters and prognosis of RB.  Results  The positive rate of PTEN [65.00% (52/80) vs. 100.00% (80/80)] and the expression level of miR-215 in RB tissues were significantly lower than those in adjacent normal tissues (P < 0.05). The overall survival (OS) was significantly reduced in both the PTEN-negative expression group and the OS in miR-215 low-expression group (P < 0.05). Cox regression analysis showed that stage Ⅲ (HR=3.047, 95% CI: 1.117-8.311, P=0.030), undifferentiated tumors (HR=2.907, 95% CI: 1.452-5.817, P=0.003), optic nerve infiltration (HR=4.446, 95% CI: 1.311-15.076, P=0.017), low expression of miR-215 (HR=2.854, 95% CI: 1.211-6.604, P=0.018), and negative expression of PTEN (HR=3.823, 95% CI: 1.708-8.555, P=0.001) as independent risk factors for poor prognosis in RB children (P < 0.05).  Conclusion  The decrease of positive rate of PTEN and low expression of miR-215 are observed in RB children, and these factors are risk factors associated with poor prognosis of RB.
Application of end-to-side arterial anastomosis in transplantations of medial sural artery perforator flap
QIU Haisheng, NI Xiao, YU Fangzheng, ZHANG Lei
2024, 22(11): 1846-1849. doi: 10.16766/j.cnki.issn.1674-4152.003747
669 3
Abstract:
  Objective  To explore the clinical efficacy of free medial sural artery perforator flap transplantation for repairing soft tissue defects in the hands and feet.  Methods  In the Department of Hand Surgery at the First Affiliated Hospital of Wenzhou Medical University from March 2015 to July 2023, we used free medial sural artery perforator flaps to repair hand and foot wounds in 16 cases. All patients had either damaged or overly thick main blood vessels in the recipient area that were incompatible with the medial sural artery. The flap sizes ranged from (3.0 cm × 5.0 cm) to (12.0 cm × 7.0 cm). The donor sites were directly sutured. The arteries are anastomosed end-to-end between the gastrocnemius artery and the main blood vessels of the recipient area. For foot wounds, the flap donor site was from the ipsilateral leg, whereas for hand wounds, the flap donor site could be from either the ipsilateral or contralateral leg.  Results  All 16 flap arteries were successfully anastomosed, and the flaps survived smoothly without vascular crises. During follow-up, which ranged from 2 months to 3 years (average of 1 year), the flaps showed no significant shrinkage and they maintained good shape. The skin flap had similar color and texture to the recipient area, with a good blood supply and normal sensation. All 16 donor areas were directly sutured and healed well, with only linear scars. At the final follow-up, hand function was rated as excellent in 9 cases and good in 3 cases, while all 4 cases of toot wounds were rated excellent. All 16 patients were satisfied with the appearance of both the donor and recipient skin flaps.  Conclusion  The free medial sural artery perforator flap does not damage to the main blood vessels of the donor area and is relatively concealed. Small to medium-sized flaps can be directly sutured, minimizing donor area damage. The use of end-to-end anastomosis with the free anterolateral thigh perforator flap eliminates the need to match recipient vessels, reduces damage to the recipient ' s main vessels, thereby increasing flap survival. This procedure is an effective method for clinical repair of hand and foot wounds.
Analysis of risk factors for orthostatic hypotension in the elderly
HUO Chuning, LI Guanfei, LI Song
2024, 22(11): 1850-1853. doi: 10.16766/j.cnki.issn.1674-4152.003748
826 7
Abstract:
  Objective  To explore the prevalence rate and risk factors of orthostatic hypotension (OH) in the elderly, and to provide scientific basis for optimizing blood pressure adjustment measures in elderly OH patients.  Methods  Medical history collection, systolic and diastolic blood pressure and heart rate measurement within 1-3 minutes of lying and standing position were performed on 360 patients aged ≥60 years from January to December 2023. According to the results of lying and standing blood pressure, the study subjects were divided into OH group (47 cases) and non-OH group (313 cases). SPSS 20.0 statistical software was used for descriptive statistical analysis of the OH prevalence in the elderly, and multiple logistic regression model was used to analyze the risk factors affecting the prevalence of OH.  Results  (1) The prevalence of OH in the elderly was 13.1% (47/360), and the prevalence increased with age (P < 0.001). (2) Age (t=11.603, P < 0.001), supine systolic blood pressure (t=3.427, P=0.001), orthostatic systolic blood pressure (t=3.712, P < 0.001), orthostatic diastolic blood pressure (t=3.731, P < 0.001), and hypertension (χ2=32.093, P < 0.001) were significant differences between OH group and non-OH group. (3)The results of the multivariate logistic regression analysis indicated that age, supine systolic blood pressure, standing systolic blood pressure, standing diastolic blood pressure, and hypertension are risk factors for orthostatic hypotension.  Conclusion  The prevalence of OH is higher in the elderly, and the prevalence increases with age. The prevalence rate of OH in patients with hypertension is significantly higher than that of the general population, and targeted intervention should be carried out early.
Research on the regulation of malignant biological behavior of colon cancer cells by Hsa miR-654-5p and its clinical significance
WANG Haiquan, LI Zhaohui, SUN Shengan, WANG Yunshuai, SHI Shousen
2024, 22(11): 1854-1858. doi: 10.16766/j.cnki.issn.1674-4152.003749
636 4
Abstract:
  Objective  Detect the expression of Hsa-miR-654-5p in colon cancer, analyze its impact on the malignant biological behavior of colon cancer cells and its clinical significance.  Methods  Detect the expression of Hsa-miR-654-5p in colon cancer cells (HT-29, Caco-2, SW480, HCT116, LOVO) and human normal colon epithelial cell (HCoEpiC), as well as in 90 cases of colon cancer and adjacent tissues collected from the central laboratory of Luoyang Central Hospital from January 2020 to December 2022 by qRT-PCR, analyze the relationship between its expression and clinical pathological characteristics and prognosis of patients. Conduct experimental grouping according to the simple random grouping method: NC group, miR-con group, Hsa-miR-654-5p overexpression group and knockdown group (n=10 per group). Cell proliferation, cloning, migration, and invasion changes in each group were measured by thiazole blue colorimetry, clone formation assay, cell scratch assay, and Transwell assay, detected the expression of Epithelia cadherin, human vimentin, and Nervous cadheri by Western blotting.  Results  The expression level of Hsa-miR-654-5p was significantly increased in colon cancer cells and tissues. There were significant differences in tumor size, differentiation, TNM staging, and lymph node metastasis (P < 0.05), while there were no statistically significant differences in age, gender, pathological type, and carcinoembryonic antigen (P>0.05). The proliferation and clone ability, cell migration rate, number of transmembrane cells, and protein expression of Epithelia cadherin, human vimentin, and Nervous cadherin of SW480 cells in the Hsa-miR-654-5p overexpression group were significantly increased when compared with the NC group and miR-con group, while the knockdown group showed a significant decrease in the above indicators, with significant differences between groups (P < 0.05).The median survival of colon cancer patients with high expression of Hsa-miR-654-5p was significantly lower than those with low expression (20.44 months vs. 38.16 months, χ2=10.079, P < 0.001).  Conclusion  Hsa-miR-654-5p is highly expressed in colon cancer and significantly correlated with clinicopathological features and prognosis of patients. Knockdown of it can inhibit the malignant biological behavior of colon cancer cells, which may be related to the inhibition of epithelial-mesenchymal transition.
A study on the relationship between intracardiac hyperechogenic focus and chromosomal abnormality and prognosis
WANG Di, WANG Jing
2024, 22(11): 1859-1862. doi: 10.16766/j.cnki.issn.1674-4152.003750
786 10
Abstract:
  Objective  To investigate the degree of association between intracardiac hyperechogenic focus (ICEF) and genetic chromosomal abnormalities, and to discuss the implications of assessing fetal prognosis.  Methods  A retrospective study design was used to analyze 450 cases of intracardiac hyperechogenic focus singleton pregnancy diagnosed by prenatal ultrasound in Anhui Provincial Hospital from January 2019 to December 2022. By collecting fetal amniotic fluid or umbilical cord blood samples, karyotype analysis and copy number variation sequencing (CNV-seq) techniques were used to perform genetic testing of the specimens, and associated test results and pregnancy outcomes were recorded.  Results  In this study, 14 cases of abnormal karyotype and 15 cases of pathogenic variation of CNV were detected. After karyotype analysis combined with CNV-seq detection, the number of chromosome abnormalities detected in the isolated intracardiac hyperechogenic focus group (2 cases, 9.5%) was lower than that in the non-isolated intracardiac hyperechogenic focus group (19 cases, 90.5%), and the difference was statistically significant (χ2=7.282, P=0.007). Isolated intracardiac hyperechogenic focus was used as control group, the number of chromosomal abnormalities was detected when ICEF was combined with Nuchal Translucency (NT) thickening (3 cases, χ2=28.362, P < 0.001), the number of chromosomal abnormalities was detected when ICEF was combined with fetal cardiac structural abnormalities (7 cases, χ2=7.492, P=0.005). The probability of chromosomal abnormality was significantly increased when ICEF was combined with NT thickening or fetal cardiac structural abnormalities (P < 0.05).  Conclusion  The combined application of karyotype analysis and CNV-seq detection has an important value in improving the detection rate of chromosomal abnormalities in intracardiac hyperechogenic focus. The detection rate of chromosomal abnormalities in non-isolated intracardiac hyperechogenic focus is higher, suggesting that it should be given more attention in clinical practice.
The expression of GZMB and PD-L1 and their relationship with prognosis in non-small cell lung patients
SUN Aolong, ZHANG Like, XU Quanxiao, WEN Xin, LI Weiyang
2024, 22(11): 1863-1867. doi: 10.16766/j.cnki.issn.1674-4152.003751
799 6
Abstract:
  Objective  To analyze the expression and clinical significance of granzyme B (GZMB) and programmed cell death ligand 1 (PD-L1) in non-small cell lung cancer (NSCLC).  Methods  Tumor and tumor-adjacent tissues were collected in 105 NSCLC patients from January 2015 to December 2019, and the expressions of GZMB and PD-L1 were detected to analyze the relationship between GZMB expression and clinicopathological features of NSCLC patients by immunohistochemistry. Thirty fresh NSCLC tissues collected from the First People's Hospital of Nanyang between March 2023 and August 2023, RT-qPCR was used to detect the relative expression levels of GZMB and PD-L1mRNA. GZMB and PD-L1 expression were performed by Spearman correlation analysis. Kaplan-Meier curve was drawn for survival analysis, and Cox regression was used to analyze the influencing factors of prognosis.  Results  There was no difference in the expression levels of GZMB between tumor and adjacent tissues in NSCLC patients (P>0.05), and PD-L1 was highly expressed in cancer tissues compared with para-cancer tissues (P < 0.001). Spearman correlation analysis revealed a negative correlation between GZMB expression and PD-L1 expression in NSCLC tissues (r=-0.448, P < 0.001). And showed a negative correlation between the relative mRNA expression levels of GZMB and PD-L1 in fresh NSCLC tissues (r=-0.846, P < 0.001). The expression of GZMB was related to the depth of invasion, lymph node metastasis, and distant metastasis of NSCLC. The median survival time of 105 patients with NSCLC was 39.36 months (1-100 months), the survival time of patients with high expression of GZMB (59.15 months) was higher than that of patients with low expression (19.70 months), and the survival time of patients with high expression of PD-L1 (26.67 months) was lower than that of patients with low expression (50.46 months). Cox regression analysis showed that GZMB and PD-L1 were independent factors affecting the prognosis of NSCLC patients (P < 0.001).  Conclusion  In NSCLC patients, there is a negative correlation between the expression of GZMB and PD-L1. High expression of GZMB is an independent protective factor for good prognosis in patients, while high expression of PD-L1 is an independent risk factor for poor prognosis in patients.
Clinical efficacy of single hole split endoscopy assisted by ultrasound bone knife in the treatment of calcified lumbar disc herniation
TAN Fang, ZHANG Yan, ZHANG Feng, HU Peng, WANG Mingfei, HAN Shuai, SONG Xin, YU Tao, WANG Jian
2024, 22(11): 1868-1871. doi: 10.16766/j.cnki.issn.1674-4152.003752
699 5
Abstract:
  Objective  To examine the clinical efficacy of ultrasonic osteotome-assisted one-hole split endoscopic discectomy (OSED) for calcified lumbar disc herniation (CLDH) and to provide a clinical reference point.  Methods  A retrospective analysis was conducted on 25 patients with CLDH who were treated at the Department of Orthopaedics in Shanghai Pudong New Area People's Hospital between January 2022 and February 2023. All patients underwent osteosynthesis with the assistance of an ultrasonic bone knife. It is crucial to meticulously observe and document the extent of surgical bleeding, the duration of the surgical procedure, the postoperative period required for patients to be able to get out of bed, the length of the incision, the frequency of intraoperative fluoroscopy, and any perioperative complications. A comparison of the visual analogue scale (VAS) and Oswestry disability Index (ODI) scores for low back pain and leg pain before and after surgery will be conducted. Furthermore, the area of calcified protrusions on the CT cross-section of intervertebral discs before and three months after surgery will be evaluated. Finally, the modified MacNab criteria will be employed to evaluate the surgical efficacy at the conclusion of the follow-up period.  Results  All 25 patients underwent surgical intervention without any significant complications, including vascular or nerve injury. The mean length of the incision was (2.01±0.26) cm, the mean surgical time was (87.40±12.84) min, the mean surgical bleeding volume was (52.40±28.33) mL, the mean frequency of intraoperative fluoroscopy was (2.88±1.01) times, and the mean postoperative time to get out of bed was (22.56±7.80) h. The VAS score and ODI index for lower back pain and leg pain in patients at different time points after surgery exhibited a statistically significant reduction compared to the pre-surgical period (P < 0.05). Moreover, the area of calcified material in the CT cross-section of the intervertebral disc demonstrated a significant reduction at the three-month post-surgical mark in comparison to the pre-surgical level (P < 0.001). The proportion of patients who were rated as excellent or good using the revised MacNab criteria was 92.0% (23/25).  Conclusion  The application of ultrasonic osteotome assisted OSED in the treatment of CLDH has satisfactory therapeutic effects, with advantages such as minimal trauma, sufficient removal of calcified protrusions, and fewer complications.
General Clinical Research
Efficacy of donepezil combined with cognitive rehabilitation in treating Alzheimer's disease based on near-infrared brain function detection
ZHANG Lie, LING Yingchun, GAO Gangmei
2024, 22(11): 1872-1875. doi: 10.16766/j.cnki.issn.1674-4152.003753
674 5
Abstract:
  Objective  To investigate the influence of donepezil combined with cognitive rehabilitation on cognitive function, daily living ability, and oxidative stress level of Alzheimer's disease (AD), and explore the efficacy based on near-infrared brain function detection of prefrontal lobe hemoglobin (HbO) level.  Methods  A total of 88 AD patients who were treated in Shaoxing Seventh People's Hospital from June 2023 to January 2024 were included in this study and were divided into a single group and a composite group using a simple random number table method, with 44 cases in each group. The single group was treated with donepezil, while the composite group carried out cognitive rehabilitation therapy on the basis of the single group. The changes in cognitive function [mini-mental state examination (MMSE), AD assessment cognitive subscale (ADAS-Cog)], cerebral prefrontal lobe HbO level, activities of daily living [activity of daily living scale (ADL)], oxidative stress indicators [superoxide dismutase (SOD), glutathione peroxidase (GSH-Px)], and interleukin-6 (IL-6) were compared between groups before and after treatment.  Results  After 8 weeks of treatment, the MMSE score, HbO level in the cerebral prefrontal lobe, and ADL score in the two groups were increased compared with those before treatment (P < 0.05), and the scores and level in the composite group were higher than those in the single group [(25.52±2.23) points vs. (24.37±2.35) points, (3.26±0.21) ×10-2 mmol·L-1·mm vs. (3.12±0.24) ×10-2 mmol·L-1·mm, (82.52±3.25) points vs. (75.37±3.54) points, all P < 0.05]. The ADAS-Cog score in both groups was reduced (P < 0.05), and the score was lower in the composite group than that in the single group [(44.22±5.14) points vs. (46.74±5.35) points, P=0.020]. The levels of SOD and GSH-Px were enhanced in both groups (P < 0.05) while the level of IL-6 in the composite group was declined (P < 0.05), but there were no obvious differences between the two groups (P>0.05).  Conclusion  Based on near-infrared brain function detection, it is found that donepezil combined with cognitive rehabilitation in the treatment of AD can enhance the concentration of cerebral prefrontal lobe HbO, and combined therapy can improve cognitive function and enhance the activities of daily living.
Correlation analysis between serum iron-related indicators and risk of post-stroke cognitive impairment in stroke patients
CHEN Juan, CHEN Shixuan, WANG Feng, HUANG Wenwen
2024, 22(11): 1876-1879. doi: 10.16766/j.cnki.issn.1674-4152.003754
807 5
Abstract:
  Objective  To explore the correlation between serum iron (SI) related indexes and the risk of post-stroke cognitive impairment (PSCI), providing a theoretical basis for clinical intervention in PSCI.  Methods  A retrospective analysis was conducted on the clinical data of 281 stroke patients treated at Wenzhou Hospital of Integrated Traditional Chinese and Western Medicine from February 2021 to July 2023. Cognitive function was evaluated by Montreal cognitive assessment scale (MoCA). According to the results of MoCA score, the score of < 26 was set as the PSCI group, and the score of ≥26 was set as the non-PSCI group. The general data, serum iron-related indexes, neurological evaluations, and imaging-related data were collected and compared between the two groups. The related factors affecting PSCI were analyzed by multivariate logistic regression.  Results  Among the 281 stroke patients, 124 patients developed PSCI, with an incidence rate of 44.13%. Significant differences were observed in age and Hb between the two groups (P < 0.05). SI, serum ferritin (SF), transferrin (TRF), total iron binding capacity (TIBC), transferrin saturation (TSAT), and hepcidin (Hep) were compared between the two groups, with statistically significant differences (P < 0.05). There were significant differences in National Institute of Health stroke scale (NIHSS) score, infarct volume, and perivascular space expansion rate between the two groups (P < 0.05). Multivariate logistic regression analysis showed that higher levels of Hb, SI, TRF, and TIBC were independent protective factors against PSCI, while elevated SF, Hep levels, high NIHSS scores, increased infarct volume, and enlarged perivascular spaces were independent risk factors for PSCI.  Conclusion  The risk of PSCI is significant, and serum iron-related indexes such as SI, TRF, and TIBC are closely associated with its development.
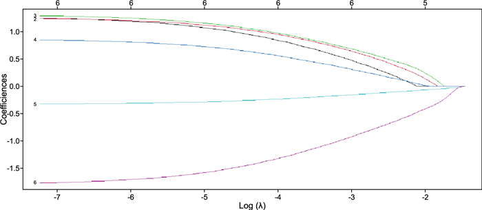
LASSO regression to identify predictors and model construction for postoperative residual pain in patients with osteoporotic vertebral compression fracture
SHU Cunhong, ZHANG Yaoping, ZHANG Yuanbin
2024, 22(11): 1880-1883. doi: 10.16766/j.cnki.issn.1674-4152.003755
707 12
Abstract:
  Objective  To investigate factors of residual pain following percutaneous vertebroplasty (PVP) in patients with osteoporotic vertebral compression fracture (OVCF) and to construct a Nomgram model based on LASSO regression for identifying relevant factors. This aims to provide reference for early identification of high-risk groups for postoperative residual pain.  Methods  A retrospective study was conducted on the efficacy of acceptance commitment therapy combined with a collaborative care model in esophageal cancer patients undergoing radiotherapy and chemotherapy. Clinical data of 60 OVCF patients with residual pain after PVP surgery from January 2022 to December 2023 in Fuyang Traditional Chinese Medicine Orthopedics and Trauma Hospital were included in the residual pain group, while clinical data of 60 patients without residual pain during the same period were included in the no residual pain group. Compare the baseline data and perioperative indicators of the two groups. Utilize LASSO regression to identify relevant risk factors and perform logistic regression analysis to develop a nomogram model with internal validation.  Results  Six potential related factors were screened using the LASSO regression model. The results of logistic regression analysis showed that TLF injury, bone cement leakage, facet joint invasion, and excessive bone cement injection were independent risk factors affecting residual pain in OVCF patients after PVP surgery (OR>1, P < 0.05). In contrast, high BMD T values and significant postoperative vertebral height recovery rate were identified as protective factors (OR < 1, P < 0.05). The constructed Nomgram model exhibited a C-index value of 0.926, indicating strong discrimination. The overall trend of the calibration curve was close to the ideal curve. The ROC curve analysis predicted an AUC of 0.926 for residual pain after PVP in OVCF patients, indicating high predictive validity.  Conclusion  A Nomogram model incorporating BMD T value, TLF injury, bone cement leakage, facet joint invasion, bone cement injection volume, and postoperative vertebral height recovery rate, can effectively predict the risk of residual pain in OVCF patients after PVP surgery.
The long-term improvement effect of high flux hemodialysis on cardiac function ultrasound index, serum myocardial injury and inflammatory biochemical index in elderly patients with diabetic nephropathy
YANG Jianxiang, LIN Yongqiang
2024, 22(11): 1884-1886. doi: 10.16766/j.cnki.issn.1674-4152.003756
649 7
Abstract:
  Objective  High-flux hemodialysis (HFHD) was performed in elderly patients with diabetic nephropathy (DN) maintenance hemodialysis (MHD) to evaluate the long-term improvement of cardiac function ultrasound index, serum myocardial injury, and inflammatory biochemical index.  Methods  A total of 93 elderly patients with DN who received MHD treatment in Wenzhou Chinese and Western Medicine Hospital from March 2022 to March 2023 were selected and divided into a HFHD group (n=42) and a low-flux dialysis (LFHD) group (n=51) according to patients' needs and dialysis purposes. High-flux dialysis and low-flux dialysis were performed respectively, and the treatment effect was followed up for 1 year. At the end of the follow-up period, the differences in cardiac function ultrasound indexes, serum myocardial injury, inflammatory biochemical indexes, and incidence of adverse reactions were compared between the two groups.  Results  The results of intra-group comparison showed that; after treatment, the left ventricular end-diastolic diameter (LVDD) in the HFHD group decreased, the left ventricular ejection fraction (LVEF%) and the ratio of early diastolic E peak to late diastolic A peak (E/A) increased, and the serum high-sensitivity troponin Ⅰ (hs-TNⅠ) level also showed an upward trend (P < 0.05). The levels of hs-TNⅠ, Hcy, and hs-CRP in the LFHD group were significantly increased (P < 0.05). The results of inter-group comparison showed that after the treatment, LVDD and interventricular septum diastolic thickness (IVSDT) in the HFHD group were significantly lower than those in the LFHD group, while LVEF% and E/A were significantly higher than those in the LFHD group. The levels of serum creatine kinase isoenzyme mass (CK-MBmass), hs-TNⅠ, homocysteine (Hcy), and hypersensitive C-reactive protein (hs-CRP) in the HFHD group were significantly lower than those in the LFHD group. The total incidence of dialysis adverse reactions in the HFHD group was 11.90% (5/42), which was significantly lower than that in the LFHD group (47.06%, 24/51, P < 0.001).  Conclusion  HFHD treatment in elderly DN MHD patients can effectively improve cardiac function and delay myocardial injury with high safety.
Observation on the effect of Shen Yuanliang's prescription in treating CAG patients
XIAO Yong, JIN Shaowei, DONG Zhen, WANG Tianshu
2024, 22(11): 1887-1890. doi: 10.16766/j.cnki.issn.1674-4152.003757
780 4
Abstract:
  Objective  To explore the improvement effect and mechanism of Shen Yuanliang's prescription in treating chronic atrophic gastritis (CAG) on gastric mucosal lesions.  Methods  A total of 105 CAG patients admitted to Shaoxing Hospital of Traditional Chinese Medicine from September 2020 to September 2023 were selected and randomly divided into Group A (53 cases) and Group B (52 cases) using a random number table method. Patients in Group B were treated with Western medicine, while patients in Group A were administered Shen Yuanliang's traditional Chinese medicine prescription in addition to the Western medicine treatment received by Group B. Before and after treatment, the patients' gastric mucosal histopathology scores, serum fibroblast growth factor 23 (FGF-23), cholinesterase (S-ChE), pepsinogen Ⅰ (PG Ⅰ), pepsinogen Ⅱ (PG Ⅱ), changes in traditional Chinese medicine syndrome scores, and clinical effects were compared.  Results  After treatment, the serum FGF-23 level in Group A was lower than that in Group B, while the serum S-ChE and PG Ⅰ levels were higher than those in Group B, with statistically significant differences (P < 0.05). Group A had lower scores for epigastric distention and pain, nausea and vomiting, qi stagnation and indigestion, belching, and acid reflux than Group B (P < 0.05). After treatment, Group A had lower scores for gastric mucosal atrophy, chronic inflammation, intestinal metaplasia, and intestinal dysplasia than Group B (P < 0.05). There were 32 cases of marked effectiveness, 18 cases of effectiveness, and 3 cases of ineffectiveness in Group A, while Group B had 20 cases of marked effectiveness, 24 cases of effectiveness, and 8 cases of ineffectiveness. The overall therapeutic effect was better in Group A than in Group B (Z=-2.402, P < 0.05).  Conclusion  The treatment of CAG patients with Shen Yuanliang's prescription can improve the gastric mucosal histopathological features more effectively, improve the levels of S-ChE, FGF-23, PG Ⅰ, and PG Ⅱ in serum and clinical symptoms, and the overall clinical effect is better.
Analysis of infant care service needs and associated factors in Chizhou City, Anhui Province
WEI Suo, LIN Tieliu, MAO Huifang, WANG Jun, CHENG Jin
2024, 22(11): 1891-1894. doi: 10.16766/j.cnki.issn.1674-4152.003758
620 7
Abstract:
  Objective  This study aims to analyze the demand for infant care services and the related family determinants in Chizhou, Anhui Province, to provide scientific guidance for developing effective intervention measures.  Methods  A self-designed questionnaire was utilized to 877 parents and pregnant women in Guichi District and Qingyang County, Chizhou City, Anhui Province from January to February 2022.  Results  Among the surveyed families, 21.3% (187/877) expressed interest in enrolling their children in childcare institutions. Among these families, 82.9% (155/187) preferred enrolling children at the age 2 to 3 years, 62.6% (117/187) chose public childcare institutions, and 78.6% (147/187) opted for full-time care programs. Regarding the admission fee, 71.7% (134/187) considered 1 000-3 000 yuan per month affordable for childcare services. Parents mainly prioritized high-quality teachers, safety, and convenient transportation when considering childcare institutions. Multiple logistic regression analysis showed that geographic locations (OR=2.894, 95% CI: 2.010-4.167), parental characteristics (OR=1.495, 95% CI: 1.052-2.126), maternal education level (OR=2.039, 95% CI: 1.163-3.575; OR=2.428, 95% CI: 1.460-4.038), and maternal employment status (OR=1.572, 95% CI: 1.033-2.392; OR=1.862, 95% CI: 1.073-3.232) were significant factors influencing the demand for infant and child care services.  Conclusion  There is a substantial demand for infant and toddler care services among families in Chizhou City. It is essential to develop comprehensive childcare services and enhance the availability of high-quality infant care to meet this demand.
Expression of Sestrin2 in serum of neonatal hypoxic-ischemic encephalopathy and its correlation with disease severity
LI Mingzhu, WEN Ronghua, YUE Qing
2024, 22(11): 1895-1898. doi: 10.16766/j.cnki.issn.1674-4152.003759
558 8
Abstract:
  Objective  To investigate the expression of serum Sestrin2 in neonates with hypoxic ischemic encephalopathy (HIE) and its clinical significance in order to improve the diagnostic accuracy and prognosis of HIE.  Methods  A total of 78 HIE children admitted to Linfen People's Hospital from June 2020 to April 2023 were selected as HIE group. They were divided into mild, moderate, and severe HIE subgroups according to the severity of the disease. Additionally, 30 healthy newborns born in our hospital during the same period were selected as the control group. The 5-min Apgar score and neonatal behavioral neurological assessment (NBNA) score of all newborns were recorded. Serum levels of superoxide dismutase (SOD), malondialdehyde (MDA), and Sestrin2 were detected in all newborns.  Results  The serum levels of Sestrin2 in the HIE group were higher than those in the control group (P < 0.05). Within the HIE group, the levels of serum Sestrin2 increased progressively from mild to severe HIE (P < 0.05). Pearson correlation analysis showed that serum Sestrin2 levels in HIE patients were positively correlated with serum MDA levels and negatively correlated with 5-minute Apgar score, NBNA score, and serum SOD level (P < 0.05). The receiver operating characteristic curve (ROC) analysis showed that serum Sestrin2 had a certain auxiliary diagnostic value for HIE, with an area under the curve of 0.818 (95% CI: 0.732-0.886). At a cut-off value of 8.25 ng/mL, the sensitivity was 66.67% (52/78), the specificity was 93.33% (28/30), and the Youden's J statistic was 0.600.  Conclusion  The expression of Sestrin2 in the serum of neonates with HIE is abnormally high and closely related to the severity of the disease and the degree of oxidative stress of the neonates. The detection of Sestrin2 in the serum is helpful for the auxiliary diagnosis of HIE.
Analysis of chronic disease management implementation in community health service center in Shanghai
ZHOU Yingda, JIN Hua, YU Hao, CHEN Chen, QIU Baohua, SHI Ling, YU Dehua
2024, 22(11): 1899-1903. doi: 10.16766/j.cnki.issn.1674-4152.003760
1271 15
Abstract:
  Objective  To investigate the overall implementation of chronic disease management in community health centers in Shanghai, and to assess and improve the current status of chronic disease management in community health centers in Shanghai.  Methods  In July 2022, a total of 247 community health centers in Shanghai were selected for analysis. A descriptive analysis was conducted on data related to chronic disease management, including objective quality control data and subjective questionnaire surveys, sourced from the Shanghai Clinical Quality Control Center of Family Medicine.  Results  A total of 238 community health centers participated in the study, 96.2%(229 centers) had established clear assessment criteria for chronic disease management, primarily focusing on patient satisfaction, health literacy questionnaire completion rates, and patient return visit rates. In the study, 98.3% of the 234 social health centers had a chronic disease management system, but only 67.2% of them regularly update their data, and 29.8% of them had incomplete information records. Taking hypertension management as an example, 90.7% of centers maintained standardized health records for patients, and follow-up visits were conducted in all communities. The current needs of social guards in implementing chronic disease management mainly include individualized management experiences, mobile management tools, risk assessment methods, and referral platforms. The main difficulties encountered in the implementation process included cumbersome information processing, inconsistent patient management, excessive time requirements, and complex assessment standards.  Conclusion  A community-centered chronic disease management model has been established, but attention is needed to address existing challenges. To enhance awareness and ability in chronic disease management, it is essential to optimize training and evaluation system of chronic disease management, accelerate the standardization of primary healthcare information, and strengthen supportive tools for chronic disease management within the community in multiple dimensions.
Survey on the mental health status and influencing factors of ICU nurses in the post epidemic era
LIU Jie, LI Lei, WANG Xiaocheng, ZHANG Nan
2024, 22(11): 1904-1907. doi: 10.16766/j.cnki.issn.1674-4152.003761
911 9
Abstract:
  Objective  To investigate the mental health status of ICU nurses and the factors affecting them in the post epidemic era.  Methods  A total of 300 nurses working in the ICU of a military hospital were investigated from November 2023 to December 2023, and questionnaires were administered using the social support rating scale, fatigue scale, positive psychological capital and stress perception scale.  Results  The total stress perception score of ICU nurses was [38.00 (32.00, 42.00)], the fatigue score was [7.00 (4.00, 10.00)], the social support score was [49.00 (44.00, 55.00)]. The self-efficacy (33.19±6.01) and resilience (29.89±7.25) scores in positive psychological capital were hope (32.16±5.38), and optimism (32.37±5.60). Additionally, out of the nursing staff surveyed, 16.49% (48/291) felt moderate pressure, while 62.89% (183/291) experienced higher pressure, and 20.62% (60/291) reported very high pressure. Further multifactorial analysis revealed that age, having children, participating in anti-epidemic activities, contracting new crowns, completing vaccinations, and marital status were associated with varying degrees of stress, fatigue, and positive psychological capital (P < 0.05). In addition, stress perception was negatively correlated with social support and positive psychological capital while positively correlated with fatigue.  Conclusion  More than 80% of ICU nurses experience high levels of psychological stress and fatigue, and the department should implement scientific and reasonable intervention methods to help nursing staff alleviate fatigue and stress, ensuring smooth treatment implementation.
Analysis of potential categories of mental health literacy in maintenance hemodialysis patients
WANG Ying, XU Hui, WENG Lina
2024, 22(11): 1908-1911. doi: 10.16766/j.cnki.issn.1674-4152.003762
791 10
Abstract:
  Objective  This paper aims to explore the potential categories of mental health literacy in maintenance hemodialysis patients and discuss the influencing factors of different potential profile categories.  Methods  A total of 255 patients undergoing maintenance hemodialysis, admitted to Hai' an Municipal People' s Hospital from July 2022 to June 2023, were selected as the research objects. A general data questionnaire and a multiple mental health literacy scale were used to conduct a survey. The potential categories of mental health literacy in maintenance hemodialysis patients were analyzed, and the influencing factors on these potential categories were discussed by single factor analysis.  Results  A total of 214 patients undergoing maintenance hemodialysis had scores of mental health literacy (10.23±2.36), knowledge dimension (4.34±1.07), belief dimension (3.98±0.84) and resource dimension (1.91±0.58). The mental health literacy of maintenance hemodialysis patients was divided into three potential categories: high literacy low resource group, low literacy group, and high literacy group. The mean probability of maintenance hemodialysis patients belonging to each potential category was 0.942, 0.906, and 0.942, respectively. The mental health literacy of maintenance dialysis patients were significantly different in age, education level, per capita family income, combined underlying diseases and dialysis time distribution (P < 0.05).  Conclusion  There are three potential categories of mental health literacy in maintenance hemodialysis patients, which are influenced factors such as age, educational level, per capita family income, underlying diseases, and dialysis time. Clinical staff should identify the characteristics of different categories of patients, actively implement strategies for high-risk groups with low literacy, encourage them to proactively address and treat their illnesses, and promote the improvement of patients' mental health literacy.
The effect of narrative nursing combined with aerobic resistance exercise on depression symptoms and coping strategies in adolescent depression patients
YANG Xiaoyan, CHEN Jing, ZHANG Huiling, XU Dongqin
2024, 22(11): 1912-1916. doi: 10.16766/j.cnki.issn.1674-4152.003763
985 10
Abstract:
  Objective  Depression and its adverse consequences have become the third reason for the death among youngsters depression. This study explores the impact of narrative nursing combined with aerobic resistance exercise on depression symptoms and coping strategies in adolescent depression patients, providing a practical and feasible intervention method for clinical practice.  Methods  A total of 112 adolescent depression patients admitted to the Shaoxing Seventh People' s Hospital from May 2022 to March 2024 were selected and randomly split into a control group and an observation group with 56 cases. The control team applied routine care, while the observation group received narrative care combined with aerobic resistance exercise on the basis of the control group. The levels of depression, coping strategies, and self-esteem between two groups of patients before and after the intervention were compared.  Results  After the intervention, the scores of the self-rating depression scale (SDS) and hamilton depression rating scale (HAMD) in the observation group were (59.33±8.61) points and (11.28±2.13) points, respectively, which were lower than that of the control group [(64.04±10.24) pints and (15.55±2.77) points, P < 0.05]. After the intervention, the face-to-face dimension score in the medical coping style questionnaire (MCQM) of the observation group was (21.77±2.84) points, which was higher than that of the control group [(16.58±3.95) points], and the yielding and avoidance dimension scores were (10.66±2.53) points and (14.35±2.57) points, respectively, which were lower than that of the control group [(14.12±2.74) points, (18.77±3.49) points, P < 0.05]. After the intervention, the self-esteem scale (SES) score of the observation group was (25.06±3.18) points, which was higher than that of the control group [(21.35±2.94) points, P < 0.05].  Conclusion  Narrative nursing combined with aerobic resistance exercise can effectively alleviate depressive symptoms in adolescent depression patients, improve their self-esteem, and make them confident in choosing positive ways to face the disease.
Application of uterine artery flow parameters combined with serum alpha-fetoprotein in predicting premature birth in twins
XING Lili, FAN Shuyu, YU Hongxia, CAO Ning
2024, 22(11): 1917-1920. doi: 10.16766/j.cnki.issn.1674-4152.003764
769 6
Abstract:
  Objective  Preterm birth (PTB) is the main cause of neonatal death. Twins at high risk of PTB are susceptible to placental barrier rupture and fetal blood flow entering the mother, resulting in an increase in maternal serum alpha-fetoprotein (AFP) levels. The purpose of this study was to explore the predictive value of combining uterine artery blood flow parameters with AFP levels in predicting preterm delivery in twins.  Methods  A total of 100 pregnant women with twin pregnancy who underwent regular antenatal examination in the Seventh People' s Hospital of Zhengzhou from January 2015 to April 2021 were retrospectively analyzed. According to the pregnancy outcome, they were divided into a premature group (n=51) and a term group (n=49). Differences in mid-pregnancy serum AFP levels and uterine artery blood flow parameters were compared through repeated measurement analysis of variance. The predictive value of these factors for premature birth outcomes in twin pregnancies was assessed through logistic regression analysis.  Results  As progression of pregnancy, uterine artery pulsatility index (uterine artery pulsation index, PI), uterine artery resistance index (uterine artery resistance index, RI), and uterine artery blood flow Scarlett D value decreased, while serum AFP level increased gradually in both the preterm group and term group. The uterine artery hemodynamic parameters and serum AFP levels in the preterm group were higher than those in the term group at various gestational weeks. The AUC values of serum AFP, PI, RI, S/D and their combination were 0.952, 0.881, 0.903, 0.919 and 0.966, respectively. Logistic regression analysis showed that serum AFP, PI, RI and S/D were risk factors for preterm delivery in twin pregnant women (OR=2.746, 1.262, 1.509 and 2.158, respectively).  Conclusion  The combination of serum AFP levels, PI, RI, and S/D values can effectively predict premature delivery in twin birth, improving the sensitivity and specificity compared to single indicators.
Study on the clinical effect of three-dimensional amide proton transfer imaging and diffusion-weighted imaging for diagnosis and prognosis evaluation of cervical cancer
SHI Tianliang
2024, 22(11): 1921-1923. doi: 10.16766/j.cnki.issn.1674-4152.003765
614 5
Abstract:
  Objective  This study aims to explore the potential value of 3D amide proton transfer imaging (3D-APT) in the diagnosis and treatment of cervical cancer by comparing its differences in the qualitative diagnosis and prognostic evaluation of cervical tissue lesions with diffusion-weighted image (DWI).  Methods  A total of 260 patients with cervical lesions, admitted to Tongren People' s Hospital from December 2020 to December 2021, were selected as the study subjects. All subjects underwent MR scanning, including 3D-APT and DWI sequence scans. The tissue pathology test were used as the gold standard to evaluate the diagnostic efficacy of both MR imaging techniques for cervical tissue lesions. The study analyzed the correlation between imaging indicators from both techniques and changes in tumor diameter after radiotherapy and chemotherapy, as well as progression-free survival.  Results  The sensitivity, specificity, and accuracy of 3D-APT for distinguishing benign from malignant cervical lesions were 98.91%, 99.40%, and 99.23%, respectively, while for DWI they were 95.70%, 98.20%, and 97.31%. The differences between the two techniques were not statistically significant (P>0.05). The correlation coefficient (r=0.824) between changes in 3D-APT indicators (ΔAPT) and reduction in maximum lesion diameter after radiotherapy and chemotherapy was higher than that of DWI indicators (r=0.781). The correlation coefficient between the 3D-APT index (APT) and progression-free survival in cervical cancer patients before radiotherapy and chemotherapy (r=-0.863) was higher than that of DWI index (DWI, r=0.795).  Conclusion  Compared to DWI examination, 3D-APT demonstrates superior capabilities in both the qualitative diagnosis and prognostic evaluation of cervical tissue lesions.
Advances in endoscopic translaminar approach for lumbar interbody fusion
CHEN Chaobo, QIAN Shu, ZHAO Jingwei, HENG Wei, QIAN Jixian, ZHOU Chengpei
2024, 22(11): 1924-1928. doi: 10.16766/j.cnki.issn.1674-4152.003766
915 5
Abstract:
In recent years, the rapid development of spinal endoscopic techniques and minimally invasive instruments has significantly expanded the use of endoscopic technology in spinal surgery. From the initial simple nucleus pulposus removal for decompression, to the extended decompression of the spinal canal in traditional open surgery, and now to the current stage of fully endoscopic-assisted lumbar fusion, microscopic fusion has gradually become one of the effective minimally invasive procedures for the treatment of lumbar degenerative diseases. There are three different surgical approaches used in clinical practice, tailored to specific indications. The endoscopic posterior lumbar interbody fusion (Endo-PLIF) approach was widely used and optimized in the field of spinal minimally invasive surgery in recent years. Through the mirror "over-the-top" technology, Endo-PLIF enables bilateral decompression via a unilateral approach, further expanding the scope of the indications. This method has proven to be highly effective, offering advantages such as minimal trauma, quick recovery, and fewer complications, making it a safe and reliable surgery. However, some complications have also been observed in clinical practice. Medical equipment and biological materials related fields developed rapidly in recent years. Innovations such as the mirror ring saw, mirror drilling tools for the endoscopic technology have more safe and convenient operation, the emergence of unilateral double channel endoscopic shorten the surgeon learning curve, expansion fusion, 3D printing fusion let the mirror fusion have better fusion material choice, and with the enhancement of digital, intelligent technology, navigation, robot, such as new technology further make the mirror fusion technology more minimally invasive, safe and effective. This paper summarizes the development of the technology, surgical methods, technical characteristics, efficacy, complications, and current status of clinical research. The aim is to provide a reference for the clinical application and popularization of the technology.
Development and research progress in medical stapler: domestic and international perspectives
ZHOU Yang, WANG Tianying, GU Wei
2024, 22(11): 1929-1933. doi: 10.16766/j.cnki.issn.1674-4152.003767
845 5
Abstract:
This paper discusses the development of medical staplers both domestically and internationally, analyzing the introduction, promotion, technological progress, market changes, and regulatory status of staplers in China. It focuses on the performance of staplers in terms of technology, product types, clinical applications, and after-sales maintenance, highlighting the advantages of various stakeholders to aid in evaluating and selecting staplers. Through literature retrieval and comparative analysis, a horizontal comparative study is conducted on technical levels, innovation capabilities, application fields, and market share. The research covers industry reports, market research, and academic literature since 2016, including data on technological innovation, market distribution, pricing, after-sales service, and standard systems of staplers. Using the matrix comparison method, the study identifies differences in technological development, market expansion, and clinical maintenance. Additionally, based on the data from research reports, regression analysis is conducted on the market development. The market size and forecast for domestic laparoscopic staplers indicate a growing clinical demand and accelerated market development, with domestic staplers showing distinct advantages in the development process. The paper suggests that domestic manufacturers can promote the healthy development of the stapler market by strengthening technological innovation, talent development, and after-sales support. It aims to provide guidance for the refined management of domestic medical devices and the development of future innovative technologies.
Developing clinical management strategies based on factors influencing perioperative hypothermia
LUO Yuanyuan, CHENG Fan, CAI Zhongxiang, NING Jinzhuo, YAO Weidong
2024, 22(11): 1934-1937. doi: 10.16766/j.cnki.issn.1674-4152.003768
1468 14
Abstract:
Perioperative hypothermia (core temperature < 36 ℃) is a common complication in surgical patients, influenced by several patient-centered external factors such as medications, comorbidities, trauma, ambient temperature, type of anesthesia, and the extent and duration of the procedure. This article summarizes and analyzes various factors affecting body temperature before, during, and after anesthesia, as along with the adverse consequences of perioperative hypothermia. Perioperative hypothermia adversely impacts various organs, slows the metabolism of anesthetic drugs and analgesics, leading to reduced anesthesia effectiveness and increased side effects. Additionally, hypothermia inhibits prothrombin activation, increasing the risk of postoperative bleeding, and suppresses immune function, reducing the activity of white blood cells and the ability to resist infection, and increasing the probability of surgical site infections. Therefore, effective temperature management during the perioperative period is crucial. Accurate, continuous temperature monitoring using appropriate probes, and individualized warming tools, including the use of warm blankets, mattresses, and fluids heated through specialized equipment, are essential. Temperature management should be guided by a checklist and tailored to patient ' s requirements and local conditions. In this study, we have compiled a review of national and international literature on the adverse consequences, risk factors, and preventive strategies for perioperative hypothermia, aiming to provide reliable protocols for its prevention and management.
Effect of Buyang Huanwu Decoction combined with individual cognitive training on post-stroke cognitive dysfunction and neurological function
WANG Guojun, LEI Haijun, YANG Li, JING Rong, GAO Li, FU Chun'ai
2024, 22(11): 1938-1941. doi: 10.16766/j.cnki.issn.1674-4152.003769
948 4
Abstract:
  Objective  To explore the effects of combing the classic formula Buyang Huanwu Decoction with personalized cognitive training on cognitive dysfunction and neurological function after stroke.  Methods  A total of 98 post stroke cognitive impairment (PSCI) patients were selected form those admitted to the Rehabilitation Medicine Department of Yan' an University Affiliated Hospital for treatment between August 2022 and August 2023. The patients were randomly divided into a control group and a treatment group using a random number table method, with 49 patients in each group. The control group received comprehensive rehabilitation treatment after stroke, while the treatment group received individualized cognitive training and traditional Chinese medicine syndrome differentiation on the basis of the control group' s treatment. The treatment group also used Buyang Huanwu Decoction as the basis for modified syndrome differentiation. Compare the scores of Montreal cognitive assessment (MoCA), activities of daily living (ADL), National Institutes of Health stroke scale (NIHSS), mini mental state examination (MMSE), and nonverbal neuropsychiatric assessment (NLCA) between two groups of patients before and after treatment. Observe the incidence of adverse drug reactions in both patient groups during the treatment process.  Results  After treatment, the total effective rate of the treatment group was 95.92% (47/49), which was higher than that of the control group [81.63% (40/49), χ2=5.017, P=0.025]. Following treatment, the MoCA score, ADL score, MMSE score, and NLCA score of the treatment group were significantly higher than those of the control group, while the NIHSS score was lower than that of the control group (P < 0.05). The incidence of adverse reactions in both groups was 4.08% (2/49).  Conclusion  The combination of Buyang Huanwu Decoction and personalized cognitive training can significantly enhance the cognitive function effect of PSCI patients, leading to a substantial improvement in their quality of life while ensuring high safety. Thus, it can be considered as a favorable treatment option for PSCI patients.
Application of acupoint application after moxibustion and anal lifting exercise in urinary incontinence in elderly stroke patients
PENG Qingjie, SHI Yangyang, HONG Liang, YANG Yanfu
2024, 22(11): 1942-1944. doi: 10.16766/j.cnki.issn.1674-4152.003770
919 10
Abstract:
  Objective  The occurrence of urinary incontinence following a stroke has a significant impact on the daily lives of patients. This paper considers the potential benefits of acupuncture point application following moxibustion and anal lifting exercise in the management of urinary incontinence following a stroke in elderly patients.  Methods  A total of 68 patients with post-stroke urinary incontinence admitted to the First Department of Neurology in Lu' an Hospital of Traditional Chinese Medicine from August 2022 to June 2023 were selected, and divided into a control group and an observation group according to the random number table method. The control group was treated with routine nursing and acupoint application, while the observation group was treated with routine nursing and acupoint application, followed by moxibustion and anal lifting exercises. The ICIQ-SF scores, urinary incontinence levels, overall efficacy rates, and treatment satisfaction of the two groups were compared before treatment and two weeks after treatment.  Results  Following treatment, the ICI-Q-SF score for the observation group [5.00 (4.00, 9.25) points] was found to be lower than that for the control group [7.00 (7.00, 11.00) points], with a statistically significant difference between the two groups (P < 0.05). The score of the observation group decreased by [4.00 (4.00, 5.00) points], which was a lower reduction than that of the control group by [2.00 (1.00, 3.00) points]. The difference between the two groups was statistically significant (P < 0.05). A significant difference was observed in urinary incontinence between the two groups following treatment (P < 0.05). The total effective rate of treatment in the observation group (34 cases, 100.00%) was higher than that in the control group (30 cases, 88.24%), and the distribution of treatment efficacy grades was statistically significant (P < 0.05). The total satisfaction with nursing care in the observation group [34 cases (100.00%)] was higher than in the control group [31 cases (91.18%)], and the distribution of satisfaction grades was statistically significant (P < 0.05).  Conclusion  The combination of acupuncture point application following moxibustion and anal lifting has been demonstrated to provide effective relief from the symptoms of urinary incontinence in elderly patients who have suffered a stroke. Moreover, this approach has been demonstrated to enhance the clinical efficacy and patient satisfaction of the treatment.
Observation on the effect of self-made Qinggan Mingmu Shengjin Runzao Tang ultrasonic atomization therapy on dry eye syndrome of liver and kidney yin deficiency type
ZHANG Guoying, DU Chengchun, GUAN Wenqing
2024, 22(11): 1945-1949. doi: 10.16766/j.cnki.issn.1674-4152.003771
949 5
Abstract:
  Objective   To explore the effect of self formulated Qinggan Mingmu Shengjin Runzao Tang ultrasonic atomization therapy on dry eye syndrome of liver and kidney yin deficiency type.   Methods   A total of 158 patients with liver and kidney-yin deficiency type dry eye syndrome admitted to our hospital from October 2023 to March 2024 were voluntarily divided into a control group and an observation group. Seventy-nine patients in the control group received routine treatment, while 79 patients in the observation group received self-designed Qinggan Mingmu Shengjin Runzao Tang ultrasonic nebulization treatment on the basis of the control group, all of them were treated for 4 weeks. The traditional chinese medicine (TCM) syndrome scores, meibomian gland function, tear film rupture time (tear film break up time, BUT), tear river height, corneal fluorescein staining (fluorescent, FL) score, and clinical efficacy were observed in the two groups.   Results   After treatment, the various scores of traditional Chinese medicine syndrome scores in the observation group were lower than those in the control group (P < 0.05). The various scores of meibomian gland function in the observation group after treatment were lower than those in the control group (P < 0.05). The post-treatment BUT and tear stream height in the observation group (9.55±1.44) s, (0.24±0.06) mm were higher than those in the control group (8.36±1.53) s, (0.21±0.05) mm, both P < 0.001; The FL score (3.83±1.00) points was lower than that of the control group (4.53 ±1.12) points (P < 0.001). The total effective rate of the observation group was 94.94% (75/79), which was higher than the 82.28% (65/79) of the control group (χ2=6.270, P=0.012).   Conclusion   The self-designed Qinggan Mingmu Shengjin Runzao Tang ultrasonic nebulization treatment can further improve the meibomian gland function of patients with liver and kidney-yin deficiency type dry eye syndrome on the basis of conventional treatment, significantly reduce patient symptoms, and improve tear film stability.
Medical technical skills competition promotes practice application of traditional Chinese medicine in surgical teaching
CHEN Tingting, HUANG Fengjing, , ZHENG Chenguo
2024, 22(11): 1950-1952. doi: 10.16766/j.cnki.issn.1674-4152.003772
531 6
Abstract:
  Objective   This study aimed to reform the teaching of traditional Chinese medicine (TCM) by integrating the content and mode of medical technical skills competition, and to explore the effectiveness of promoting learning and teaching by competitions.   Methods   The five-year undergraduate class of TCM at Renji College of Wenzhou Medical University in 2018 was selected as the teaching reform class, while the five-year undergraduate class of TCM in 2017 was selected as the traditional teaching class. The teaching effect was evaluated by comparison of assessment results and a questionnaire survey, which also measured the satisfaction of the teaching reform class.   Results   (1) The average assessment score of the teaching reform class (80.24±4.87) was higher than that of the traditional teaching class (76.76±5.36), with a higher proportion of students in the teaching reform class achieving excellent or good scores, a statistically significant difference (P < 0.05). (2)The teaching reform class is better than the traditional teaching class in terms of familiarity with the teaching content, classroom participation, post-class knowledge mastery, and pre-class independent literature search ability, all showing statistically significant differences (P < 0.05). (3)In the satisfaction survey, the overall satisfaction rate of the teaching reform class reached 84.04% (79/94), covering two aspects: teaching implementation methods and overall evaluation. The teaching implementation methods included pre-class case guidance, scenario simulation, group division of labor and discussion, scenario introduction, skill competition, and integration of clinical practice.   Conclusion   Medical technical skills competition can promote the teaching of Traditional Chinese Medicine surgery, with high student satisfaction, making it a method worth promoting and applying.
Application effect of standardized patient combined with Leicester assessment package evaluation method in general outpatient teaching
JIN Mingwei, FAN Yijun, GUO Ming, BAI Yang, ZHAN Xuebin, LI Jimeng
2024, 22(11): 1953-1956. doi: 10.16766/j.cnki.issn.1674-4152.003773
730 36
Abstract:
  Objective  Exploring the application value of standardized patient (SP) combined with Leicester assessment package (LAP) in general outpatient teaching.  Methods  Thirty students who participated in the general assistant training program at the Seventh People' s Hospital of Zhengzhou from 2021 to 2022, as well as 20 students who participated in residential training, were selected as the research subjects. They were divided into an experimental group and a control group using a random number table method. There were 15 assistant general practice trainees in the experimental group A and control group B, respectively. There were 10 resident trainees in the experimental group C and control group D, respectively. Each student received a 3-month general practice outpatient teaching training. The experimental group and control group received training using SP combined LAP evaluation method and traditional outpatient teaching, respectively. The pass rates of examination of assistant practicing doctors' qualifications, completion assessments, and practicing physicians between the two groups, and LAP scores of the first and last training in the experimental group were compared.  Results  After the training, the passing rate of examination of assistant practicing doctors' qualifications and completion assessment in Group A were higher than those in Group B, while the passing rate of medical practitioners in Group C was higher than that in Group D, the differences were statistically significant (P < 0.05); The scores of 7 items in the LAP assessment scale for assistant general practitioners in Group A, including medical history collection, physical examination, problem-solving, patient management, doctor-patient relationship, expected care, and medical records, all improved compared to before training, and the differences were statistically significant (P < 0.05); The scores of five items in the LAP assessment scale for group C residential trainees, including medical history collection, problem solving, patient management, doctor-patient relationship, and expected care, all improved compared to before the training, and the differences were statistically significant (t=3.380, 5.786, 3.983, 4.670, 3.207, all P < 0.05).  Conclusion  The combination of SP and LAP evaluation method is an effective and reliable outpatient teaching method, which is worth further promoting and applying in general outpatient teaching.
Clinical efficacy and safety of Xiao' er Chaigui Tuire Granules in the treatment of acute upper respiratory tract infection: a meta-analysis
LI Yun, CHANG Wenjing, ZHANG Xudong, ZHANG Juwen, CHEN Wei
2024, 22(11): 1957-1962. doi: 10.16766/j.cnki.issn.1674-4152.003774
1485 5
Abstract:
  Objective  To systematically evaluate the clinical efficacy and safety of Xiao' er Chaigui Tuire Granules alone or combined with Western medicine in the treatment of acute upper respiratory tract infection, and to provide evidence-based basis for clinical application.  Methods  The clinical literatures on the application of Xiao' er Chaigui Tuire Granules were searched in CNKI, Wanfang, VIP, SinoMed, PubMed and Cochrane Library, and the retrieval time was established until January 2023. Data extraction were extracted from the included literatures, and methodological quality assessment tools were used to evaluate literature quality. Meta-analysis was performed using RevMan 5.4 software.  Results  A total of 2 913 patients were included in 20 randomized controlled trials. The results of meta-analysis showed that Xiao' er Chaigui Tuire Granules combined with ribavirin could shorten the antipyretic time [MD=-0.75(d), 95% CI: -1.00 to-0.50, P < 0.001], Xiao' er Chaigui Tuire Granules combined with amoxicillin could also shorten the antipyretic time [MD=-1.78(h), 95% CI: -2.07 to-1.48, P < 0.001]. Compared with the conventional antibiotics and antiviral agents, Xiao' er Chaigui Tuire Granules could shorten the antipyretic time [MD=-0.95(d), 95% CI: -1.44 to-0.46, P < 0.001]. Compared with ribavirin, the therapeutic indexes of Xiao' er Chaigui Tuire Granules alone had no obvious advantage.  Conclusion  Xiao' er Chaigui Tuire Granules combined with Western medicine has a good therapeutic effect, whereas the number and quality of the relevant clinical studies remain to be improved. The process of clinical trial should be standardized to improve the quality of evidence, so to guide the better application of Xiao' er Chaigui Tuire Granules in clinical practice.
Constraint-induced movement combined therapy to promote the recovery of stroke patients: a network meta-analysis
WANG Aiyao, TIAN Jie, SUN Yaohuan, DING Xingxing, LIAN Shuying, JIANG Suting, DONG Yinfeng
2024, 22(11): 1963-1966. doi: 10.16766/j.cnki.issn.1674-4152.003775
855 6
Abstract:
  Objective  To systematically review the efficacy of constraint-induced movement combined therapy on exercise ability and daily living in stroke patients.  Methods  We searched the Web of Science, PubMed, etc, a total of 8 databases to collect the clinical randomized controlled trials (RCTs) of (modified) constraint-induced movement therapy (CIMT) for rehabilitation in stroke patients. The literature was independently screened by two researchers, they extracted data and assessed the risk of bias of included studies. Then, Stata and ADDIS software performed a network meta-analysis.  Results  A total of 26 studies involving 9 combined interventions [CIMT+ continuous care(am), CIMT+ biofeedback(bm), CIMT+ massage(dm), CIMT+ acupuncture(em), CIMT+ transcranial magnetic stimulation(fm), CIMT+ functional electrical stimulation(gm), CIMT+ music therapy(hm), CIMT+ bilateral Rehabilitation (im), CIMT+ motor imaging(jm)] were included. Regarding the FMA score, Rank1 was used as the optimal probability ranking, the order was dm>em>gm>am>c. As to improving upper limb motor function, only bm was better than the control group, no significant difference was found among other groups (MD=8.31, 95% CI: 1.73 to 14.24, P < 0.05). Comparisons of various combined interventions showed that the optimal probability of im and jm ranked in the top two. In terms of ADL score, the order was jm>em>am>c; while assessed by BI during the intervention at 4 months and 8 months, em ranked first both.  Conclusion  The results showed that bm has a significant effect on improving upper limb motor function compared with conventional regimens. Different CIMT combined therapies have different advantages in improving motor ability and daily living ability of stroke patients: dm and em could obviously improve motor function; bm, im, and em markedly improved the motor function of the upper limbs, and em was the optimum to improve the ability of self-care in daily life.
Systematic analysis of the effect of intensive breathing training on the application of rehabilitation for patients with post-stroke dysphagia
WU Liyan, CUI Yanyin, ZHANG Yujie, LEI Shanyan, YANG Fang
2024, 22(11): 1967-1970. doi: 10.16766/j.cnki.issn.1674-4152.003776
1176 4
Abstract:
  Objective  To systematically evaluate the effect of intensive respiratory training on the rehabilitation application of dysphagia after stroke.  Methods  The controlled studies of intensive breathing training on rehabilitation of swallowing disorder after stroke from PubMed, Embase, Cochrane Library, Web of Science, China Biomedical Literature Service System, CNKI, Vip, and Wanfang were searched by computer from the establishment of the database to June 2023. The quality of the included studies was evaluated according to the Cochrane system and Ottawa Scale, and the meta-analysis of outcome indicators was performed using RevMan5.4.  Results  Thirteen papers were included in the literature, including 12 randomized controlled studies and one retrospective controlled study with a total of 708 patients. Meta-analysis showed that the difference in PEF between the training group and the control group was not statistically significant (P>0.05). In terms of kubota drinking water test (KDWT), functional oral intake scale (FOIS), forced vital capacity (FVC), and penetration-aspiration scale (PAS), The incidence of aspiration pneumonia was statistically significant (P < 0.05). Subgroup analyses showed heterogeneity in swallowing rehabilitation outcomes in terms of intervention modality (P=0.030) and treatment duration (P=0.060), and heterogeneity in pulmonary function rehabilitation outcomes in terms of intervention modality (P=0.090).  Conclusion  Available evidence suggests that intensive respiratory training can promote the recovery of swallowing function and effectively reduce the incidence of aspiration pneumonia in patients with post-stroke dysphagia.
Research hotspot of moyamoya disease: a visualized analysis based on CiteSpace software
MA Yunyun, JIANG Zijuan, LI Ping, WANG Xiaoxiao, ZHANG Luoluo
2024, 22(11): 1971-1975. doi: 10.16766/j.cnki.issn.1674-4152.003777
609 7
Abstract:
  Objective  To search and visually analyze the literature related to moyamoya disease based on CiteSpace, and summarize the research status, research hotspot and development trend in this field, in order to provide reference for subsequent research.  Methods  The literature related to moyamoya disease in the core collection database of Web of Science from January 1, 2011 to August 21, 2023 was searched by computer. CiteSpace 6.2.R4 was used for visual analysis of various aspects including the number of publications, country/region distribution, institution distribution, author distribution, keywords, etc.  Results  A total of 2 499 articles in English were included, and the number of foreign publications on Moyamoya disease showed a slow rising trend from 2011 to 2023, mainly in Asian countries represented by China and Japan. Capital Medical University, Seoul National University and Hokkaido University were the top three institutions of the number of publications. Most of the top authors came from these institutions or countries, forming a close cooperating team. However, there is currently low intensity of cooperation around the world. At present, the research on moyamoya disease mainly focuses on its pathogenesis, improvement of surgical methods, and postoperative complications. Keyword co-occurrence analysis showed that intracranial and extracranial bypass, clinical features, and vascular disease centrality were the strongest areas. Key words clustering involved postoperative complications of revascularization such as cerebral hyperperfusion syndrome, arterial spin labeling and other examination techniques, and the pathogenesis of moyamoya disease such as ring finger protein 213. Emergent word analysis shows that spontaneous occlusion, pial angioplasty and gene are the hot topics in recent years.  Conclusion  The causes of moyamoya disease, the effects of treatment on the long-term curative effect, and the course of the disease are still puzzling clinical diagnosis and treatment. In the future, researchers can further pay attention to the pathophysiological changes in blood vessels in moyamoya disease patients and conduct case reports.
Development of a risk scoring tool for hospital-acquired pressure ulcer in gynecological surgery patients
LU Tingting, WANG Yan, ZHANG Yinghui
2024, 22(11): 1976-1980. doi: 10.16766/j.cnki.issn.1674-4152.003778
601 8
Abstract:
  Objective  This study aims to explore the risk factors for hospital-acquired pressure ulcers in patients undergoing gynecological surgery and to develop an effective prediction tool based on these factors.  Methods  Risk factors for pressure ulcers were identified through a literature review. Clinical data from 128 patients (64 with hospital-acquired pressure ulcers and 64 without) who underwent gynecological surgery at the First Affiliated Hospital of Bengbu Medical University from January 2018 to October 2023 were retrospectively collected. Differences in known risk factors between the two groups were analyzed. Binary multifactorial logistic regression analysis was used to evaluate the importance of different risk factors and identify those associated with pressure ulcer development. A pressure ulcer risk prediction model was developed using R software and internally validated.  Results  Statistically significant differences were observed between the two groups in age, BMI (< 23), American Society of Anesthesiologists (ASA) classification (1-2 and ≥3), preoperative Braden score (≤14), anemia, hypertension, respiratory disease, and length of hospital stay (P < 0.05). Logistic regression analysis confirmed 8 risk factors: age ≥70 years, length of hospital stay, ASA level ≥3, BMI < 23, preoperative Braden score ≤14, anemia, respiratory disease, and hypertension. The prediction model had a C-statistic of 0.81, indicating good risk discrimination. A cut-off value of ≥6 points was determined to be a strong predictor of pressure ulcer occurrence, with a positive predictive value of 73.9% and a negative predictive value of 80.5%.  Conclusion  This study identified key risk factors of pressure ulcers (age ≥70 years, length of hospital stay, ASA level ≥3, BMI < 23, preoperative Braden score ≤14, anemia, respiratory disease, and hypertension) and developed a reliable risk prediction tool. This tool offers a theoretical basis for enhancing clinical nursing care and preventing pressure ulcers in gynecological surgery patients.
The effect of task-oriented family participation nursing model on patients and caregivers after esophageal cancer surgery
YAN Yanyan, TONG Yaping, CHEN Lijuan, CAI Shuping
2024, 22(11): 1981-1985. doi: 10.16766/j.cnki.issn.1674-4152.003779
745 9
Abstract:
  Objective  To investigate the effects of a task-oriented family engagement care model on self-care ability, caregiver caregiving ability, and patient prognosis in esophageal cancer surgery.  Methods  A convenient sampling method was used to select 78 esophageal cancer inpatients diagnosed with esophageal squamous carcinoma and treated with elective surgery by histology or cytology from January to June 2022 and from January to June 2023. They were divided into a control group and an observation group, receiving task-oriented family health education and skills training based on routine health education. The self-care ability, competency of caregivers, preoperative and postoperative blood indexes (1 day after admission and 7-day postoperative period), average hospitalization days, number of patients discharged with a tube, and complications were compared between the two groups through the design, implementation, and evaluation of skills training course.  Results  There was no statistically significant difference in the scores of self-care ability between the two groups before intervention [99 (92, 105) vs. 100 (90, 106), P>0.05], but a significant difference was found after intervention [129 (124, 133) vs. 118 (111, 124), P < 0.001]. The caregiver ability score also showed a significant difference after intervention (P < 0.001). The neutrophil count, leukocyte count, average postoperative hospital days, and the number of complications of the observation group were lower than those of the control group 7 days postoperatively (P < 0.05).  Conclusion  The task-oriented family participation-based care model can improve the self-care ability and caregiver care ability of esophageal cancer surgical patients, enhance the postoperative inflammatory indexes, reduce the rate of complications, and shorten hospitalization days. This model has significance clinical importance and promotion value.
Effect of early pelvic floor muscle exercises on urinary incontinence and quality of life after orthotopic ileal neobladder surgery
ZHANG Hongqin, LIU Beibei, WANG Fei, LU Yingli, LI Jian
2024, 22(11): 1986-1989. doi: 10.16766/j.cnki.issn.1674-4152.003780
580 4
Abstract:
  Objective  To study the effect of early pelvic floor muscle exercises on urinary incontinence and quality of life in patients undergoing orthotopic ileal neobladder surgery for bladder cancer.  Methods  Fifty-six patients with bladder cancer treated in the First Affiliated Hospital of Bengbu Medical University from October 2017 to October 2020 who met the criteria of this study and underwent total cystectomy with orthotopic ileal neobladder surgery were selected as the study objects. According to random number table method, 56 patients were divided into the observation group (n=28) and the control group (n=28). All patients received standardized pelvic floor muscle exercise nursing. Patients in the observation group received standardized pelvic floor muscle exercise nursing from the second day after admission until one week post-surgery, while patients in the control group received standardized pelvic floor muscle exercise nursing from three weeks after catheter removal. The quality of life and nursing satisfaction were evaluated with function asses-ment of cancer therapy-bladder cancer form (FACT-BL) and a satisfaction questionnaire after three months. The incidence of urinary incontinence was recorded in the two groups.  Results  After three months, the incidence of urinary incontinence in the observation group (28.57%, 8/28) was significantly lower than that in the control group 60.17% (17/28, P < 0.05). The total FACT-BL score, functional status scores, and bladder cancer-specific module scores of the observation group were 134.65±8.16, 21.59±2.01, and 39.56±3.15, respectively, which were significantly higher than those of the control group (126.71±6.92, 19.07±2.06, 37.63±3.54, P < 0.05). The satisfaction rate of patients in the observation group with nursing was significantly higher than in the control group (P < 0.05).  Conclusion  Early pelvic floor muscle exercise nursing can improve urination function and quality of life in patients following orthotopic ileal neobladder surgery for bladder cancer. This approach is highly recommended for clinical practice.
Effect of continuous care with low FODMAP dietary guidance on nutritional status and intestinal flora in patients with ulcerative colitis
YANG Mei, TONG Jingfei, GAO Ying, YU Xueyao
2024, 22(11): 1990-1994. doi: 10.16766/j.cnki.issn.1674-4152.003781
784 11
Abstract:
  Objective  Constructing a continuous nursing program guided by a low fermentable oligosaccharides, disaccharides, monosaccharides and polyols (FODMAP) diet to help patients with ulcerative colitis improve their nutritional status, regulate intestinal flora, and optimize the quality of care.  Methods  A total of 141 patients with ulcerative colitis treated in Hangzhou Hospital of Traditional Chinese Medicine from July 2022 to January 2024 were selected and divided into a control group (71 cases) and an experimental group (70 cases) by random number table method. The control group was given routine continuous care, and the experimental group was given continuous care with low FODMAP dietary guidance on the basis of the above. Dietary compliance, modified Mayo score, intestinal flora number, and nutritional status of the two groups were compared before and after care.  Results  After 12 weeks of nursing, the scores of diet-related knowledge and diet management behavior in the experimental group were higher than those of the control group (P < 0.05); The modified Mayo score [(3.11±1.12) vs.(4.09±1.76) points] in the experimental group was lower than that of the control group (P < 0.05). The number of Escherichia coli colonies in the experimental group was lower than that of the control group (P < 0.05), and bifidobacterium and lactobacillus colonies in the experimental group were higher than those of the control group (P < 0.05). Serum albumin [ALB, (32.09±8.03) vs.(30.56±7.24) g/L], prealbumin [PAB, (190.09±20.77) vs.(182.44±15.38) mg/L], and hemoglobin [HGB, (109.34±11.34) vs.(95.77±10.71) g/L] in the experimental group were higher than those in the control group (P < 0.05).  Conclusion  The continuous nursing of low FODMAP dietary guidance can not only improve the dietary compliance of patients with ulcerative colitis, and relieve the clinical symptoms of patients, but also help balance the intestinal flora and improve the nutritional status of patients.